Cl4W2
MatHub2d-1432-Cl4W2
| Property |
Value |
| Space group |
(11, 'P2_1/m') |
| Crystal system |
rectangular |
| Magnetic |
No |
| Band gap (PBE) (eV) |
0.00 |
| Free energy (eV) |
-29.404 |
| Free energy / atom (eV) |
-4.901 |
Lattice Parameters (basic)
| a, b, c (Å): | 5.408 | 3.110 | 30.000 |
| α, β, γ (°): | 90.000 | 90.000 | 90.000 |
Lattice Parameters (computed)
| a, b, c (Å): | 5.429 | 3.120 | 30.000 |
| α, β, γ (°): | 90.000 | 90.000 | 90.000 |
| Property |
Value |
| Band gap |
0.00 eV |
| E-fermi |
-0.855 eV |
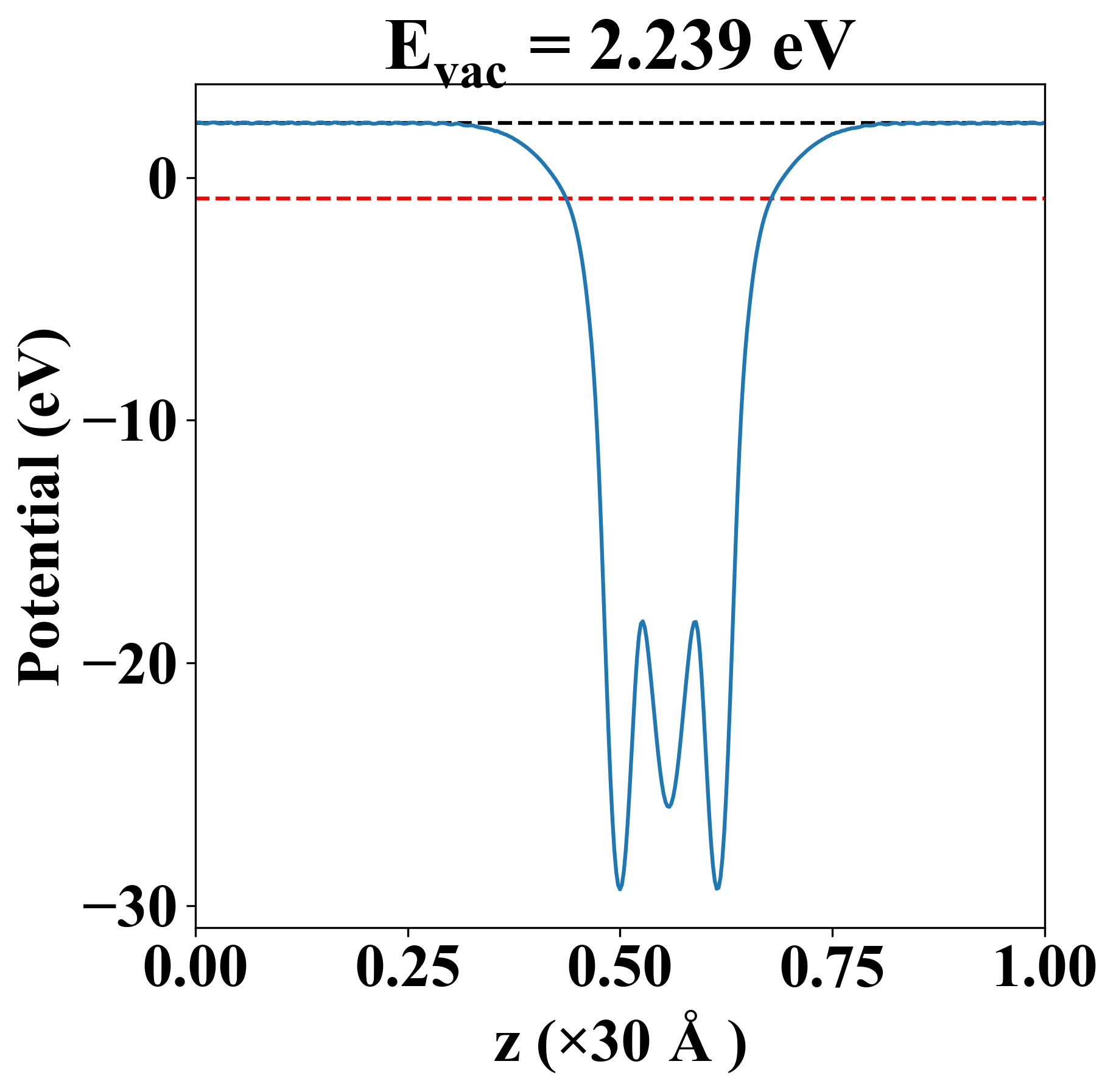
| Vacuum level |
2.239 eV |
| VBM |
-0.856 eV |
| CBM |
-0.855 eV |
| Work function |
3.094 eV |
| Direct gap |
No |
| Property |
Value |
| Band gap |
0.00 eV |
| E-fermi |
-0.855 eV |
| Vacuum level |
2.239 eV |
| VBM |
-0.856 eV |
| CBM |
-0.855 eV |
| Work function |
3.094 eV |
| Cij (N/m) |
xx |
yy |
xy |
| xx |
72.261 |
18.573 |
-0.000 |
| yy |
18.573 |
119.670 |
0.000 |
| xy |
-0.000 |
0.000 |
42.548 |
| Phonon mode at Γ point (THz) |
| Property |
Value |
| from where |
c2db-1949 |