Cl4V2
MatHub2d-1431-Cl4V2
| Property |
Value |
| Space group |
(11, 'P2_1/m') |
| Crystal system |
rectangular |
| Magnetic |
Yes |
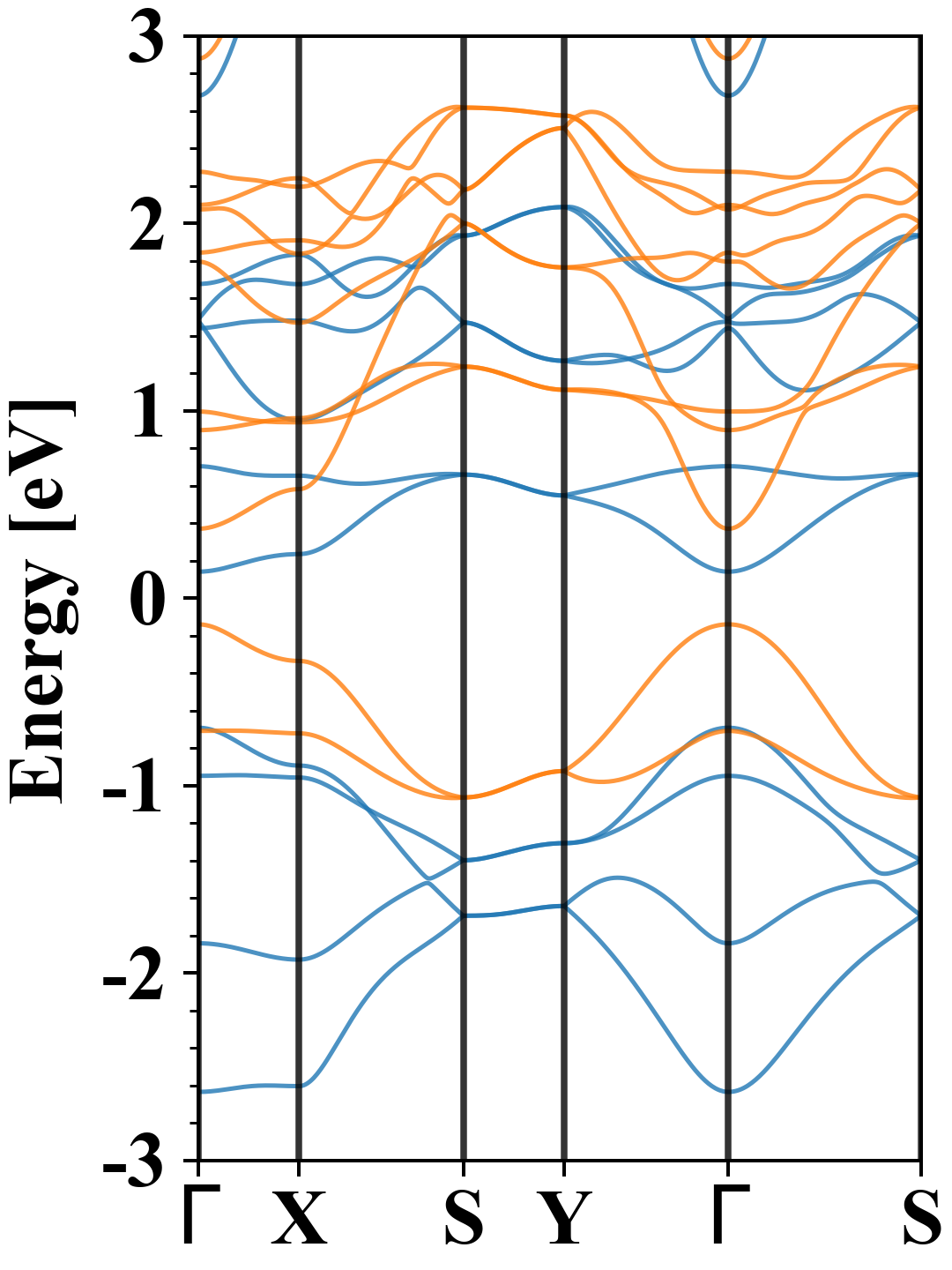
| Band gap (PBE) (eV) |
0.28 |
| Free energy (eV) |
-27.169 |
| Free energy / atom (eV) |
-4.528 |
Lattice Parameters (basic)
| a, b, c (Å): | 5.693 | 3.240 | 30.000 |
| α, β, γ (°): | 90.000 | 90.000 | 90.000 |
Lattice Parameters (computed)
| a, b, c (Å): | 5.706 | 3.500 | 30.000 |
| α, β, γ (°): | 90.000 | 90.000 | 90.000 |
| Property |
Value |
| Band gap |
0.28 eV |
| E-fermi |
-2.177 eV |
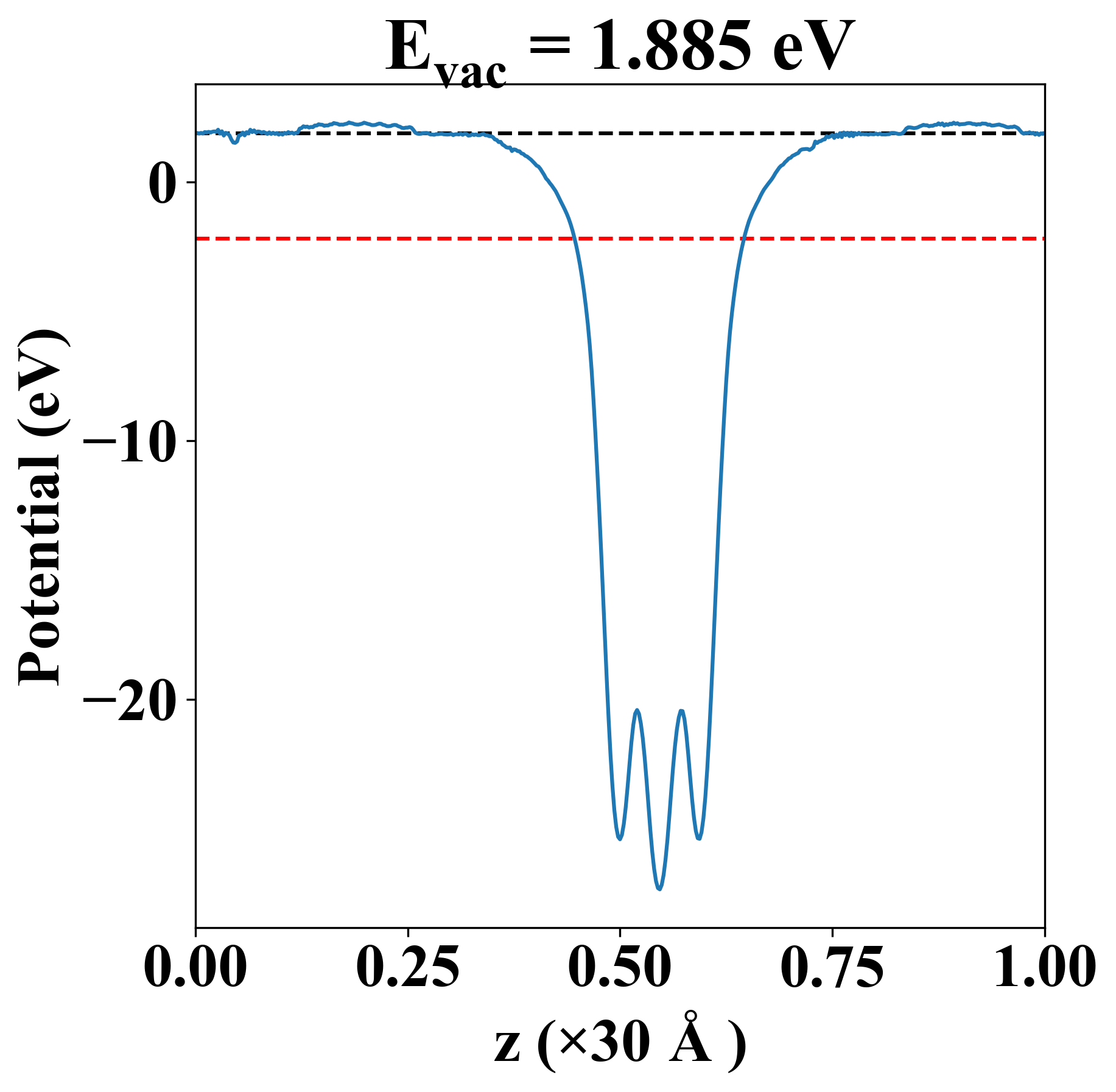
| Vacuum level |
1.885 eV |
| VBM |
-2.317 eV |
| CBM |
-2.036 eV |
| Work function |
4.062 eV |
| Direct gap |
Yes |
| Property |
Value |
| Band gap |
0.28 eV |
| E-fermi |
-2.177 eV |
| Vacuum level |
1.885 eV |
| VBM |
-2.317 eV |
| CBM |
-2.036 eV |
| Work function |
4.062 eV |
| Cij (N/m) |
xx |
yy |
xy |
| xx |
59.594 |
19.919 |
-0.000 |
| yy |
19.919 |
36.253 |
-0.000 |
| xy |
-0.000 |
-0.000 |
15.682 |
| Phonon mode at Γ point (THz) |
| Property |
Value |
| from where |
c2db-1946 |