Cl4Sc2
MatHub2d-1427-Cl4Sc2
| Property |
Value |
| Space group |
(11, 'P2_1/m') |
| Crystal system |
rectangular |
| Magnetic |
Yes |
| Band gap (PBE) (eV) |
0.00 |
| Free energy (eV) |
-28.462 |
| Free energy / atom (eV) |
-4.744 |
Lattice Parameters (basic)
| a, b, c (Å): | 6.196 | 3.580 | 30.000 |
| α, β, γ (°): | 90.000 | 90.000 | 90.000 |
Lattice Parameters (computed)
| a, b, c (Å): | 6.430 | 3.833 | 30.000 |
| α, β, γ (°): | 90.000 | 90.000 | 90.000 |
| Property |
Value |
| Band gap |
0.00 eV |
| E-fermi |
-1.777 eV |
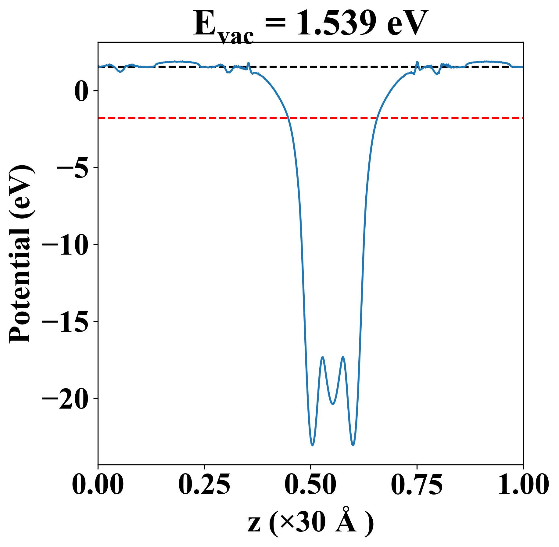
| Vacuum level |
1.539 eV |
| VBM |
-1.777 eV |
| CBM |
-1.776 eV |
| Work function |
3.316 eV |
| Direct gap |
No |
| Property |
Value |
| Band gap |
0.00 eV |
| E-fermi |
-1.777 eV |
| Vacuum level |
1.539 eV |
| VBM |
-1.777 eV |
| CBM |
-1.776 eV |
| Work function |
3.316 eV |
| Cij (N/m) |
xx |
yy |
xy |
| xx |
29.003 |
7.067 |
-0.000 |
| yy |
7.067 |
26.763 |
-0.000 |
| xy |
-0.000 |
-0.000 |
9.317 |
| Phonon mode at Γ point (THz) |
| Property |
Value |
| from where |
c2db-1927 |