Cl4Pd2
MatHub2d-1425-Cl4Pd2
| Property |
Value |
| Space group |
(11, 'P2_1/m') |
| Crystal system |
rectangular |
| Magnetic |
Yes |
| Band gap (PBE) (eV) |
0.00 |
| Free energy (eV) |
-16.902 |
| Free energy / atom (eV) |
-2.817 |
Lattice Parameters (basic)
| a, b, c (Å): | 6.059 | 4.013 | 30.000 |
| α, β, γ (°): | 90.000 | 90.000 | 90.000 |
Lattice Parameters (computed)
| a, b, c (Å): | 6.403 | 3.695 | 30.000 |
| α, β, γ (°): | 90.000 | 90.000 | 90.000 |
| Property |
Value |
| Band gap |
0.00 eV |
| E-fermi |
-4.863 eV |
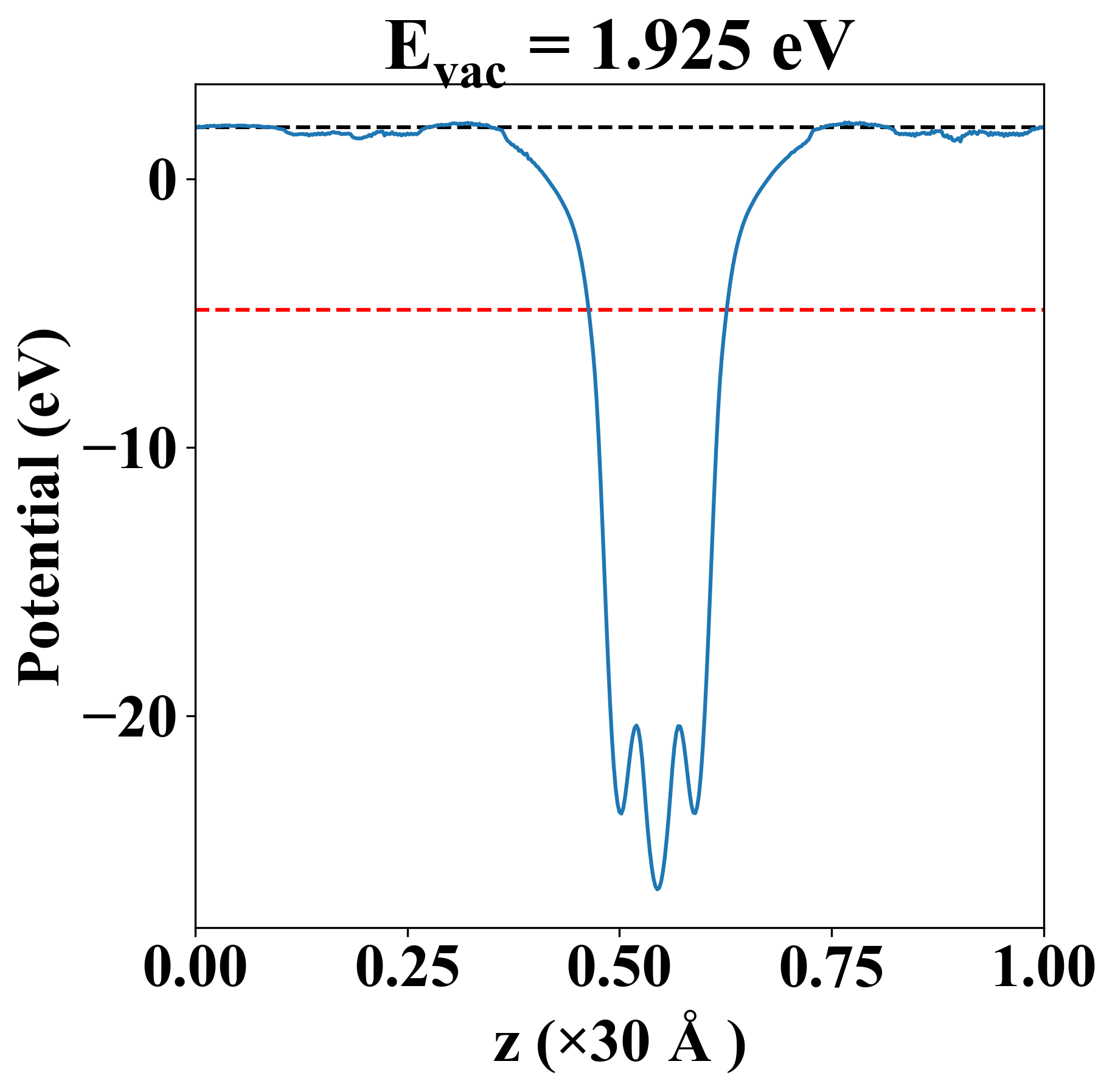
| Vacuum level |
1.925 eV |
| VBM |
-5.163 eV |
| CBM |
-3.765 eV |
| Work function |
6.788 eV |
| Direct gap |
No |
| Property |
Value |
| Band gap |
1.40 eV |
| E-fermi |
-4.955 eV |
| VBM |
-5.173 eV |
| CBM |
-3.777 eV |
| Free energy (eV) |
-17.000 |
| Free energy / atom (eV) |
-2.833 |
| Property |
Value |
| Band gap |
0.00 eV |
| E-fermi |
-4.863 eV |
| Vacuum level |
1.925 eV |
| VBM |
-5.163 eV |
| CBM |
-3.765 eV |
| Work function |
6.788 eV |
| Cij (N/m) |
xx |
yy |
xy |
| xx |
2.882 |
15.232 |
-0.000 |
| yy |
15.232 |
3.193 |
-0.000 |
| xy |
-0.000 |
-0.000 |
-6.343 |
| Phonon mode at Γ point (THz) |
| -4.379 |
| -3.160 |
| -3.145 |
| -1.907 |
| -0.485 |
| -0.347 |
| -0.021 |
| -0.006 |
| 0.097 |
| 2.455 |
| 4.794 |
| 5.263 |
| 5.634 |
| 5.648 |
| 5.811 |
| 5.887 |
| 5.902 |
| 6.304 |
| Property |
Value |
| from where |
c2db-1901 |