Cl4Nb2
MatHub2d-1424-Cl4Nb2
| Property |
Value |
| Space group |
(11, 'P2_1/m') |
| Crystal system |
rectangular |
| Magnetic |
Yes |
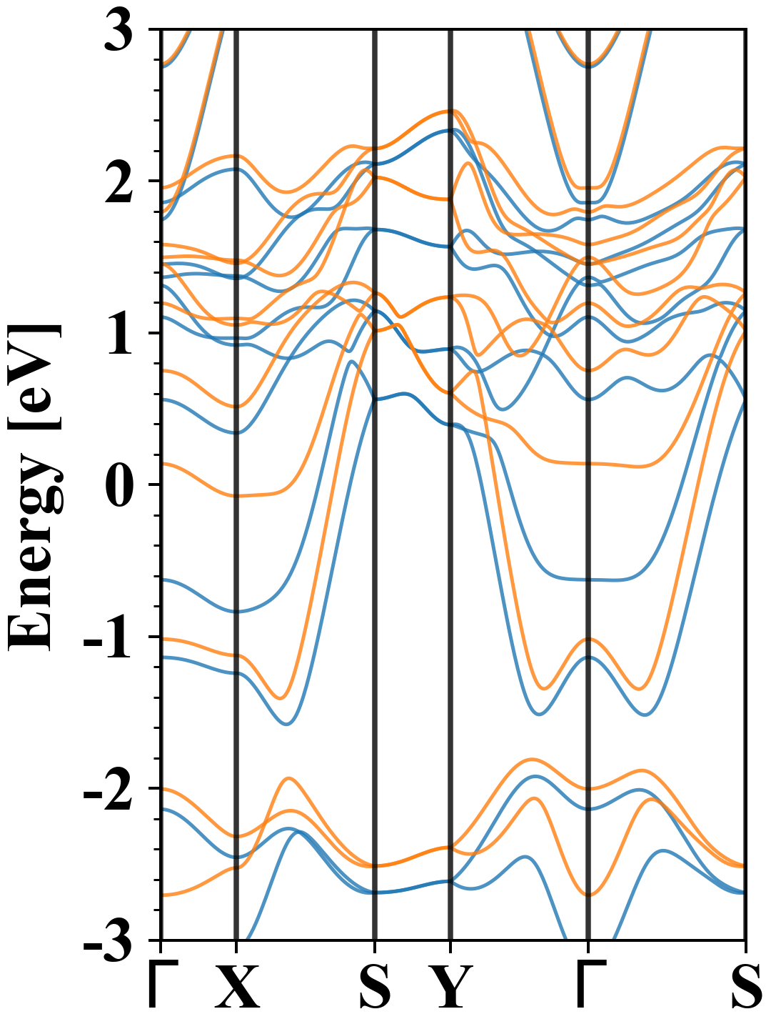
| Band gap (PBE) (eV) |
0.00 |
| Free energy (eV) |
-30.653 |
| Free energy / atom (eV) |
-5.109 |
Lattice Parameters (basic)
| a, b, c (Å): | 5.918 | 3.295 | 30.000 |
| α, β, γ (°): | 90.000 | 90.000 | 90.000 |
Lattice Parameters (computed)
| a, b, c (Å): | 5.959 | 3.288 | 30.000 |
| α, β, γ (°): | 90.000 | 90.000 | 90.000 |
| Property |
Value |
| Band gap |
0.00 eV |
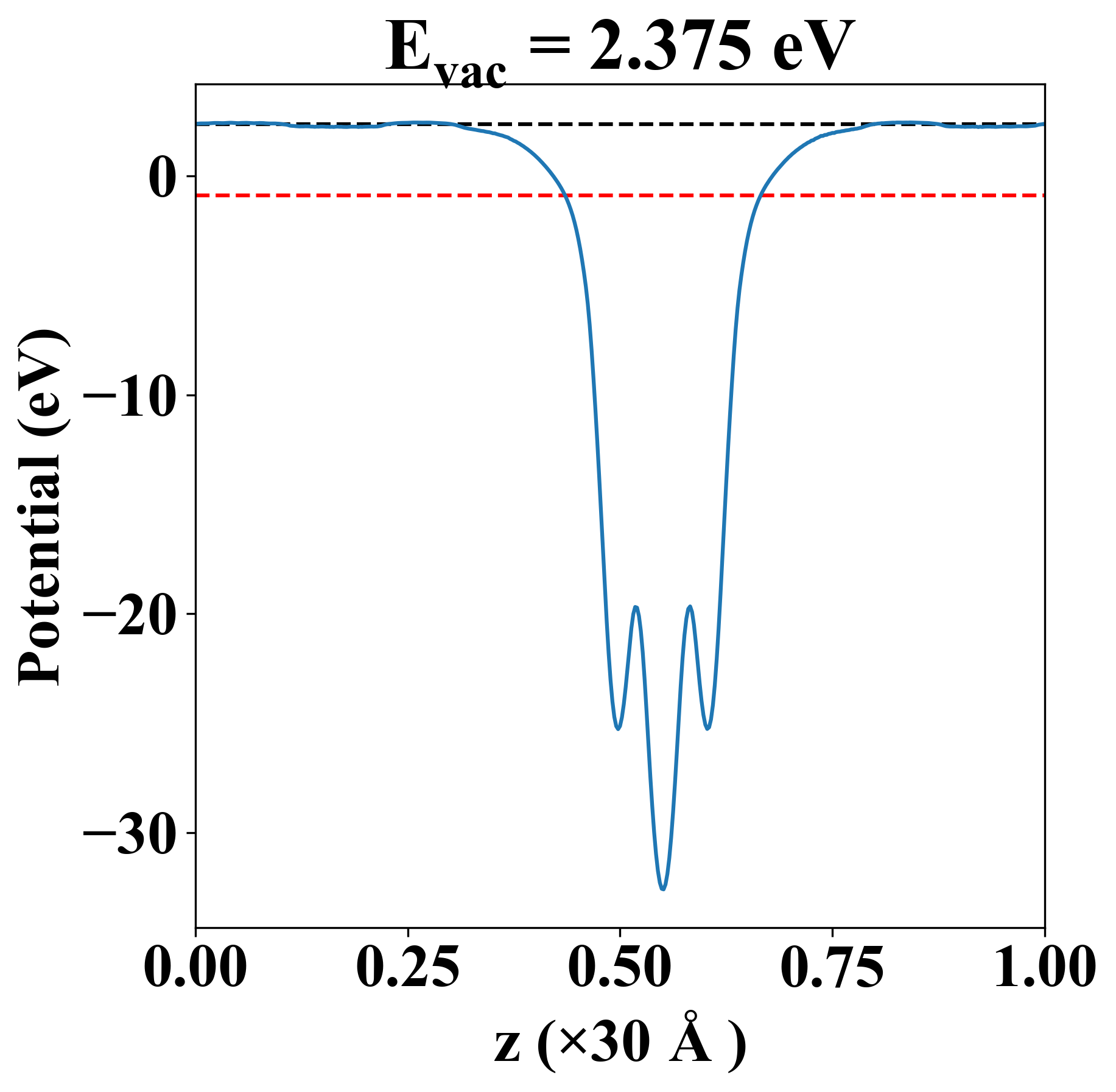
| E-fermi |
-0.884 eV |
| Vacuum level |
2.375 eV |
| VBM |
-0.885 eV |
| CBM |
-0.882 eV |
| Work function |
3.259 eV |
| Direct gap |
No |
| Property |
Value |
| Band gap |
0.00 eV |
| E-fermi |
-0.884 eV |
| Vacuum level |
2.375 eV |
| VBM |
-0.885 eV |
| CBM |
-0.882 eV |
| Work function |
3.259 eV |
| Cij (N/m) |
xx |
yy |
xy |
| xx |
116.172 |
16.319 |
0.000 |
| yy |
16.319 |
106.478 |
0.000 |
| xy |
0.000 |
0.000 |
35.004 |
| Phonon mode at Γ point (THz) |
| Property |
Value |
| from where |
c2db-1891 |