Cl4Mn2
MatHub2d-1422-Cl4Mn2
| Property |
Value |
| Space group |
(10, 'P2/m') |
| Crystal system |
rectangular |
| Magnetic |
Yes |
| Band gap (PBE) (eV) |
2.54 |
| Free energy (eV) |
-24.373 |
| Free energy / atom (eV) |
-4.062 |
Lattice Parameters (basic)
| a, b, c (Å): | 6.205 | 3.570 | 30.000 |
| α, β, γ (°): | 90.000 | 90.000 | 90.000 |
Lattice Parameters (computed)
| a, b, c (Å): | 6.275 | 3.620 | 30.000 |
| α, β, γ (°): | 90.000 | 90.000 | 90.000 |
| Property |
Value |
| Band gap |
2.54 eV |
| E-fermi |
-4.288 eV |
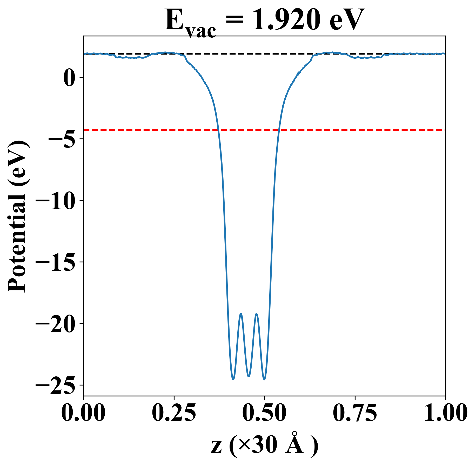
| Vacuum level |
1.920 eV |
| VBM |
-4.676 eV |
| CBM |
-2.141 eV |
| Work function |
6.208 eV |
| Direct gap |
No |
| Property |
Value |
| Band gap |
3.64 eV |
| E-fermi |
-4.879 eV |
| VBM |
-5.157 eV |
| CBM |
-1.521 eV |
| Free energy (eV) |
-29.817 |
| Free energy / atom (eV) |
-4.969 |
| Property |
Value |
| Band gap |
2.54 eV |
| E-fermi |
-4.288 eV |
| Vacuum level |
1.920 eV |
| VBM |
-4.676 eV |
| CBM |
-2.141 eV |
| Work function |
6.208 eV |
| Cij (N/m) |
xx |
yy |
xy |
| xx |
33.555 |
11.259 |
-0.000 |
| yy |
11.259 |
34.006 |
-0.000 |
| xy |
-0.000 |
-0.000 |
11.339 |
| Phonon mode at Γ point (THz) |
| Property |
Value |
| from where |
c2db-1874 |