Cl4Ir2
MatHub2d-1421-Cl4Ir2
| Property |
Value |
| Space group |
(11, 'P2_1/m') |
| Crystal system |
rectangular |
| Magnetic |
No |
| Band gap (PBE) (eV) |
0.00 |
| Free energy (eV) |
-20.251 |
| Free energy / atom (eV) |
-3.375 |
Lattice Parameters (basic)
| a, b, c (Å): | 7.379 | 3.409 | 30.000 |
| α, β, γ (°): | 90.000 | 90.000 | 90.000 |
Lattice Parameters (computed)
| a, b, c (Å): | 7.298 | 3.400 | 30.000 |
| α, β, γ (°): | 90.000 | 90.000 | 90.000 |
| Property |
Value |
| Band gap |
0.00 eV |
| E-fermi |
-3.878 eV |
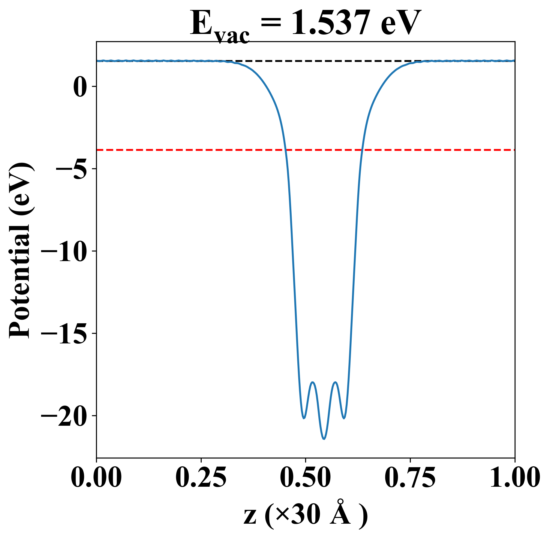
| Vacuum level |
1.537 eV |
| VBM |
-3.880 eV |
| CBM |
-3.878 eV |
| Work function |
5.416 eV |
| Direct gap |
No |
| Property |
Value |
| Band gap |
0.00 eV |
| E-fermi |
-3.878 eV |
| Vacuum level |
1.537 eV |
| VBM |
-3.880 eV |
| CBM |
-3.878 eV |
| Work function |
5.416 eV |
| Cij (N/m) |
xx |
yy |
xy |
| xx |
3.119 |
0.666 |
-0.000 |
| yy |
0.666 |
94.494 |
-0.000 |
| xy |
-0.000 |
-0.000 |
0.218 |
| Phonon mode at Γ point (THz) |
| -0.387 |
| -0.003 |
| -0.002 |
| 0.001 |
| 1.670 |
| 3.080 |
| 3.603 |
| 3.762 |
| 4.082 |
| 5.165 |
| 6.259 |
| 6.742 |
| 6.992 |
| 7.132 |
| 7.317 |
| 8.406 |
| 8.783 |
| 9.143 |
| Property |
Value |
| from where |
c2db-1866 |