Cl4I4Ta2
MatHub2d-1420-Cl4I4Ta2
| Property |
Value |
| Space group |
(47, 'Pmmm') |
| Crystal system |
rectangular |
| Magnetic |
No |
| Band gap (PBE) (eV) |
1.55 |
| Free energy (eV) |
-42.829 |
| Free energy / atom (eV) |
-4.283 |
Lattice Parameters (basic)
| a, b, c (Å): | 7.528 | 8.165 | 30.000 |
| α, β, γ (°): | 90.000 | 90.000 | 90.000 |
Lattice Parameters (computed)
| a, b, c (Å): | 7.620 | 8.615 | 30.000 |
| α, β, γ (°): | 90.000 | 90.000 | 90.000 |
| Property |
Value |
| Band gap |
1.55 eV |
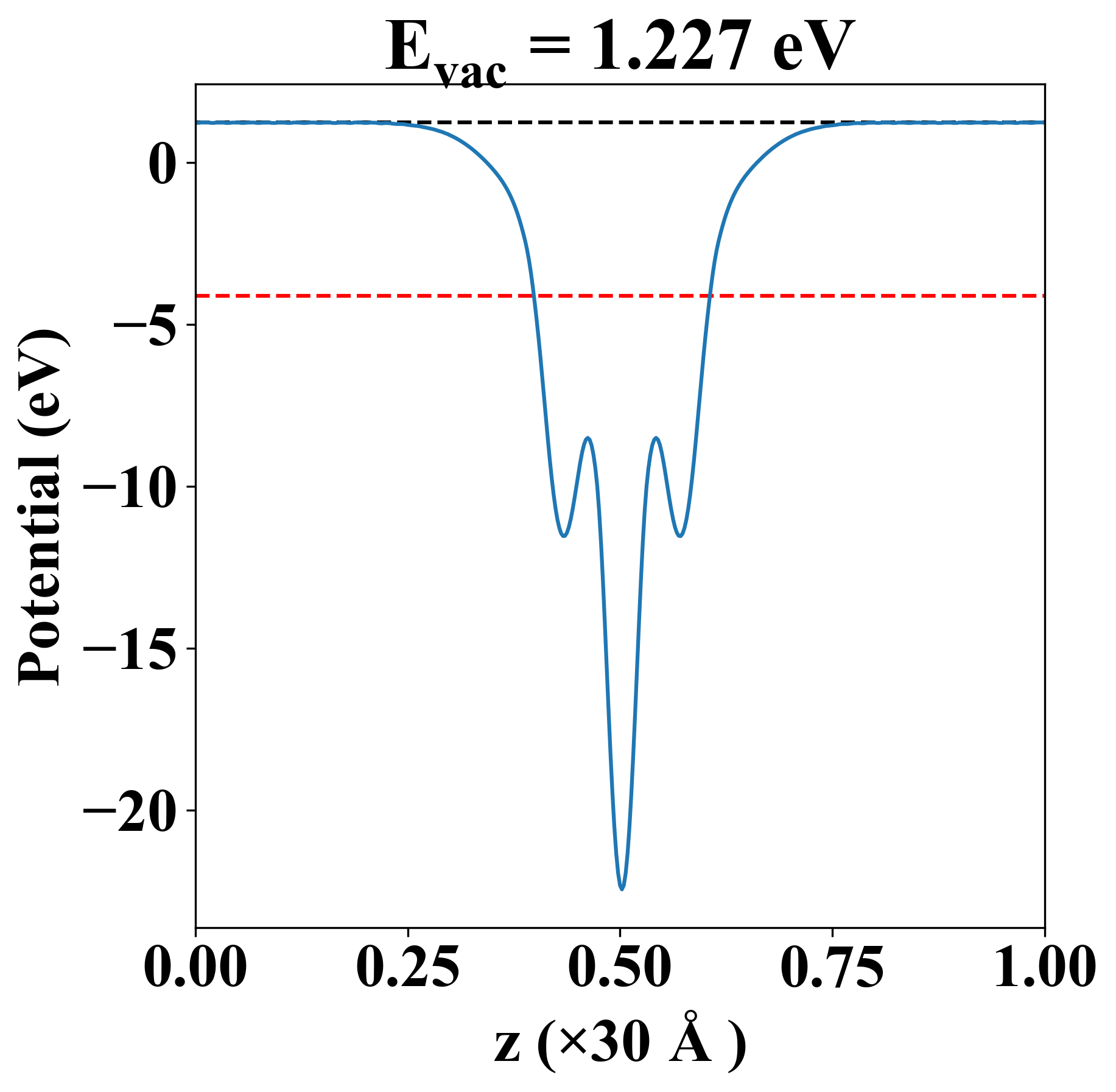
| E-fermi |
-4.120 eV |
| Vacuum level |
1.227 eV |
| VBM |
-4.404 eV |
| CBM |
-2.850 eV |
| Work function |
5.347 eV |
| Direct gap |
No |
| Property |
Value |
| Band gap |
1.55 eV |
| E-fermi |
-4.120 eV |
| Vacuum level |
1.227 eV |
| VBM |
-4.404 eV |
| CBM |
-2.850 eV |
| Work function |
5.347 eV |
| Cij (N/m) |
xx |
yy |
xy |
| xx |
28.844 |
-0.076 |
-0.000 |
| yy |
-0.076 |
1.586 |
0.000 |
| xy |
-0.000 |
0.000 |
-0.351 |
| Phonon mode at Γ point (THz) |
| Property |
Value |
| from where |
JVASP-6394 |