Cl4Hg2
MatHub2d-1419-Cl4Hg2
| Property |
Value |
| Space group |
(55, 'Pbam') |
| Crystal system |
rectangular |
| Magnetic |
No |
| Band gap (PBE) (eV) |
3.47 |
| Free energy (eV) |
-11.122 |
| Free energy / atom (eV) |
-1.854 |
Lattice Parameters (basic)
| a, b, c (Å): | 4.095 | 13.015 | 30.000 |
| α, β, γ (°): | 90.000 | 90.000 | 90.000 |
Lattice Parameters (computed)
| a, b, c (Å): | 4.172 | 13.756 | 30.000 |
| α, β, γ (°): | 90.000 | 90.000 | 90.000 |
| Property |
Value |
| Band gap |
3.47 eV |
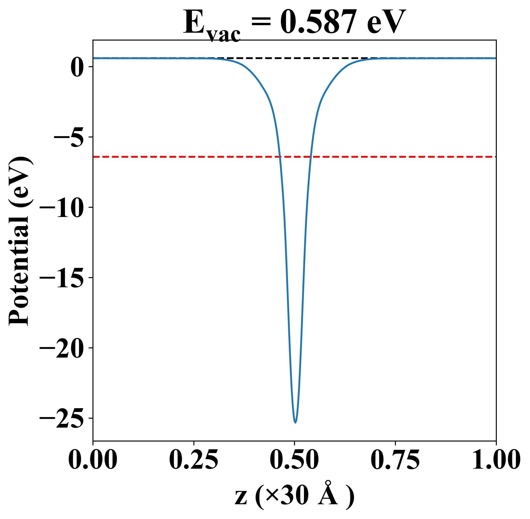
| E-fermi |
-6.425 eV |
| Vacuum level |
0.587 eV |
| VBM |
-6.672 eV |
| CBM |
-3.203 eV |
| Work function |
7.011 eV |
| Direct gap |
No |
| Property |
Value |
| Band gap |
3.44 eV |
| E-fermi |
-6.373 eV |
| VBM |
-6.653 eV |
| CBM |
-3.208 eV |
| Free energy (eV) |
-11.651 |
| Free energy / atom (eV) |
-1.942 |
| Property |
Value |
| Band gap |
3.47 eV |
| E-fermi |
-6.425 eV |
| Vacuum level |
0.587 eV |
| VBM |
-6.672 eV |
| CBM |
-3.203 eV |
| Work function |
7.011 eV |
| Cij (N/m) |
xx |
yy |
xy |
| xx |
5.557 |
0.916 |
0.000 |
| yy |
0.916 |
1.852 |
0.000 |
| xy |
0.000 |
0.000 |
0.919 |
| Phonon mode at Γ point (THz) |
| Property |
Value |
| from where |
JVASP-6430 |