Cl4Hf2
MatHub2d-1418-Cl4Hf2
| Property |
Value |
| Space group |
(11, 'P2_1/m') |
| Crystal system |
rectangular |
| Magnetic |
No |
| Band gap (PBE) (eV) |
0.86 |
| Free energy (eV) |
-36.103 |
| Free energy / atom (eV) |
-6.017 |
Lattice Parameters (basic)
| a, b, c (Å): | 6.161 | 3.279 | 30.000 |
| α, β, γ (°): | 90.000 | 90.000 | 90.000 |
Lattice Parameters (computed)
| a, b, c (Å): | 6.146 | 3.269 | 30.000 |
| α, β, γ (°): | 90.000 | 90.000 | 90.000 |
| Property |
Value |
| Band gap |
0.86 eV |
| E-fermi |
-2.187 eV |
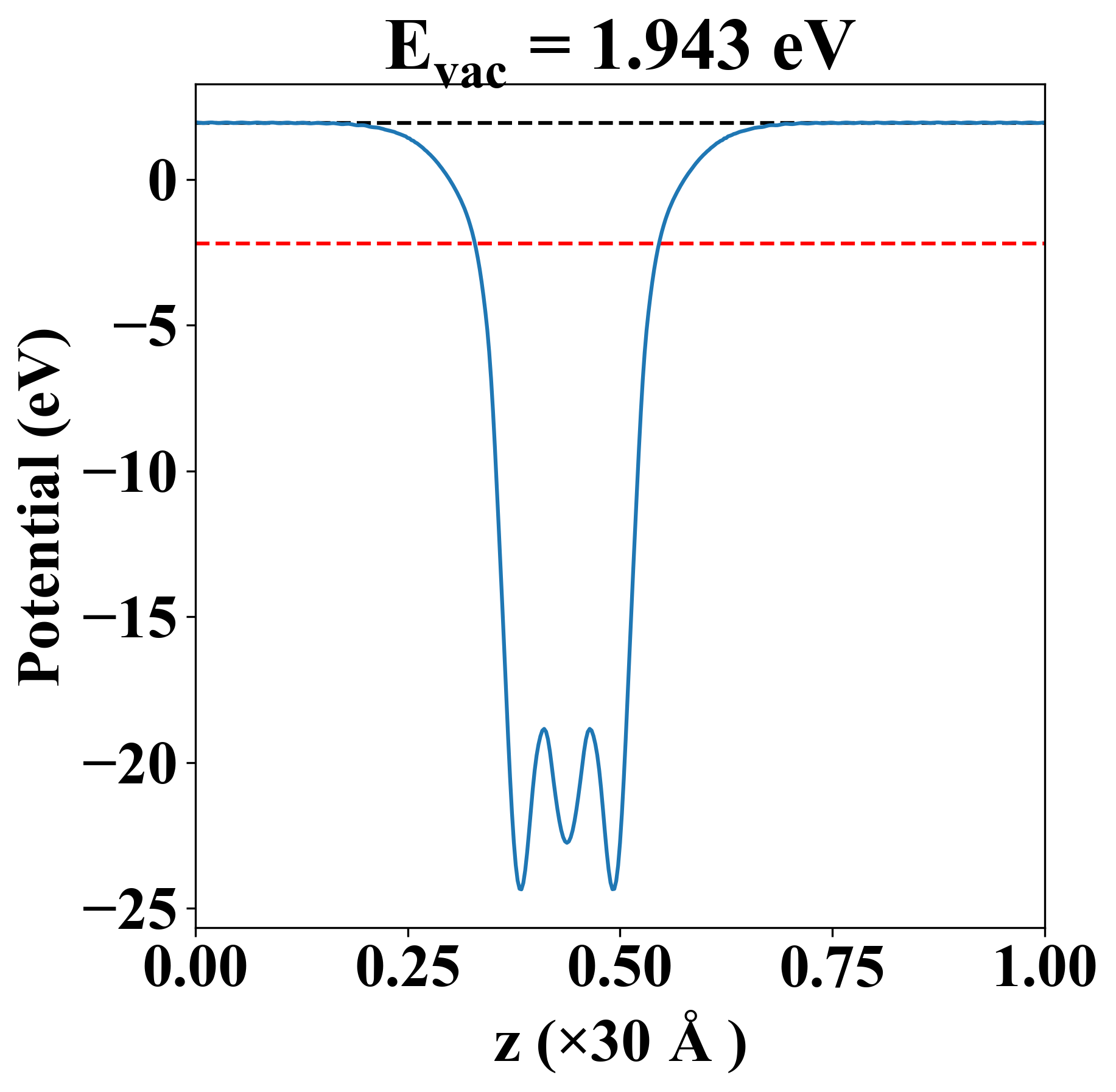
| Vacuum level |
1.943 eV |
| VBM |
-2.459 eV |
| CBM |
-1.595 eV |
| Work function |
4.130 eV |
| Direct gap |
No |
| Property |
Value |
| Band gap |
0.85 eV |
| E-fermi |
-2.195 eV |
| VBM |
-2.481 eV |
| CBM |
-1.633 eV |
| Free energy (eV) |
-37.456 |
| Free energy / atom (eV) |
-6.243 |
| Property |
Value |
| Band gap |
0.86 eV |
| E-fermi |
-2.187 eV |
| Vacuum level |
1.943 eV |
| VBM |
-2.459 eV |
| CBM |
-1.595 eV |
| Work function |
4.130 eV |
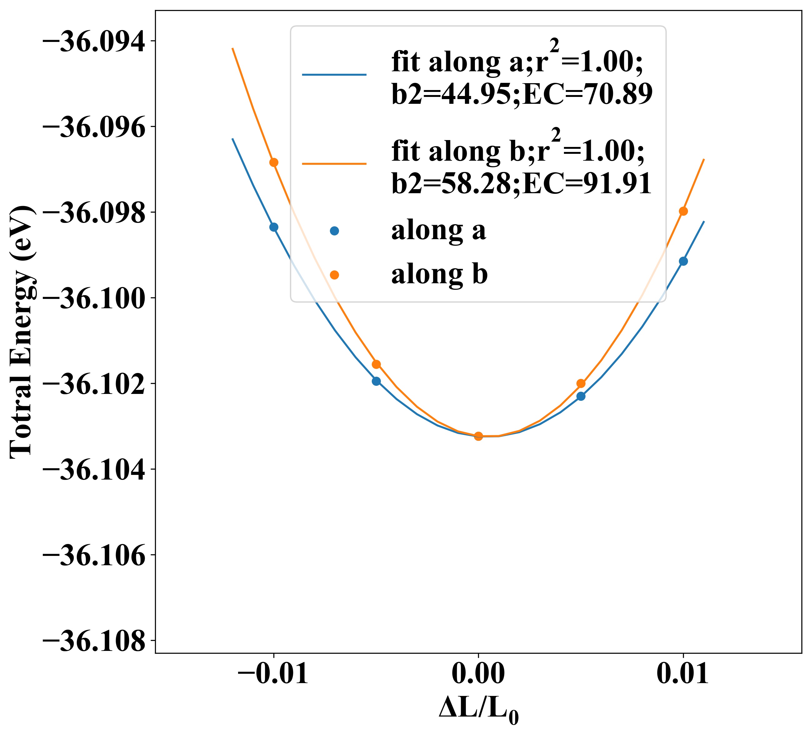
| Cij (N/m) |
xx |
yy |
xy |
| xx |
72.074 |
9.357 |
-0.000 |
| yy |
9.357 |
93.165 |
0.000 |
| xy |
-0.000 |
0.000 |
27.379 |
| Phonon mode at Γ point (THz) |
| -0.003 |
| -0.002 |
| -0.002 |
| 3.020 |
| 3.757 |
| 4.739 |
| 5.007 |
| 5.208 |
| 5.232 |
| 5.340 |
| 5.712 |
| 5.734 |
| 5.888 |
| 6.310 |
| 7.034 |
| 7.268 |
| 8.131 |
| 9.033 |
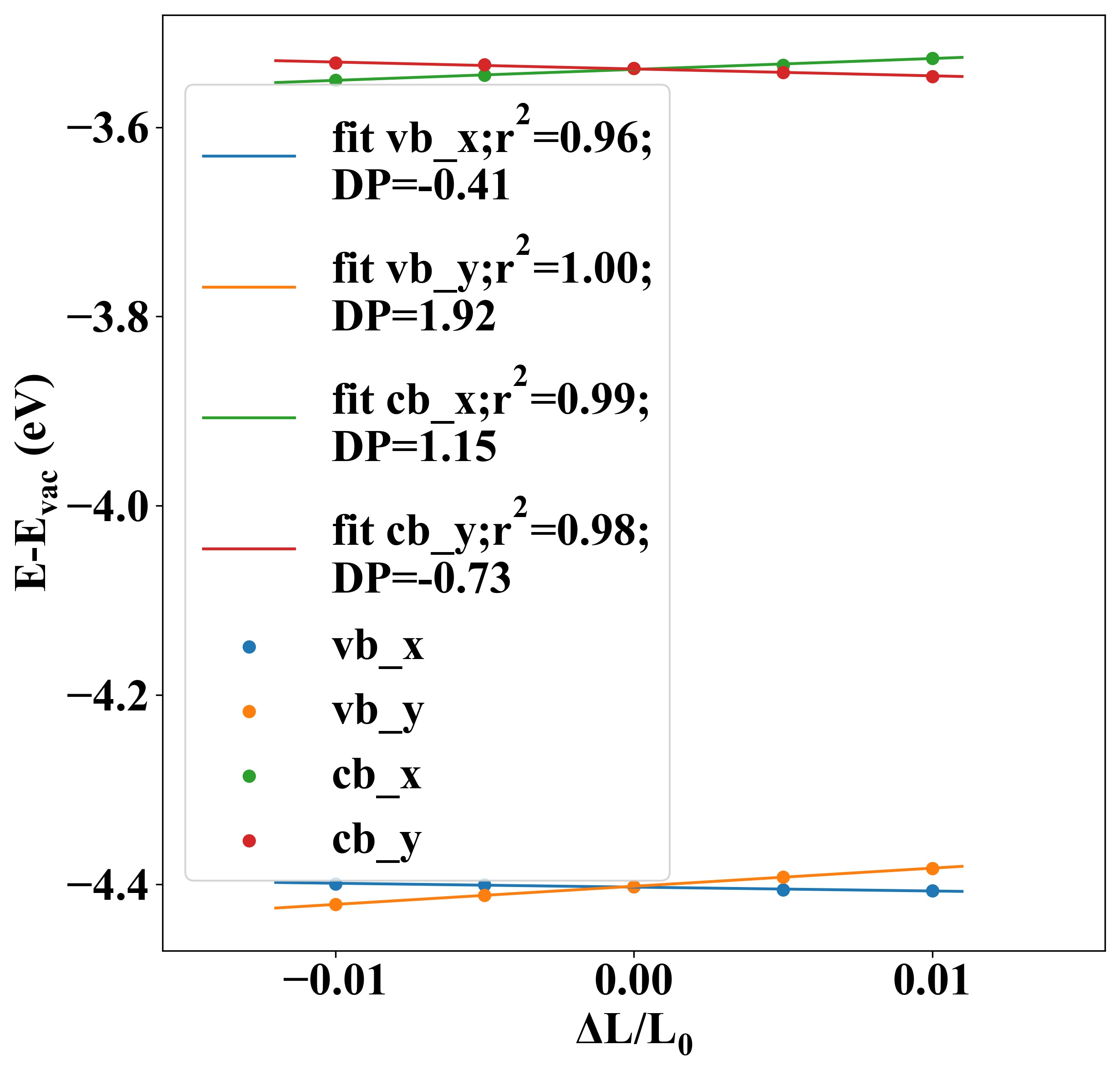
| Carrier type |
C2D (N/m) |
Edef (eV) |
μ (cm2V-1s-1) |
| x |
y |
x |
y |
x |
y |
| hole |
70.89 |
91.91 |
-0.41 |
1.92 |
-1467.67 |
-155.40 |
| electron |
1.15 |
-0.73 |
145.30 |
8380.65 |
| Property |
Value |
| from where |
c2db-1857 |