Cl4Ge2
MatHub2d-1417-Cl4Ge2
| Property |
Value |
| Space group |
(11, 'P2_1/m') |
| Crystal system |
rectangular |
| Magnetic |
No |
| Band gap (PBE) (eV) |
2.92 |
| Free energy (eV) |
-21.076 |
| Free energy / atom (eV) |
-3.513 |
Lattice Parameters (basic)
| a, b, c (Å): | 7.554 | 3.891 | 30.000 |
| α, β, γ (°): | 90.000 | 90.000 | 90.000 |
Lattice Parameters (computed)
| a, b, c (Å): | 7.550 | 3.893 | 30.000 |
| α, β, γ (°): | 90.000 | 90.000 | 90.000 |
| Property |
Value |
| Band gap |
2.92 eV |
| E-fermi |
-5.293 eV |
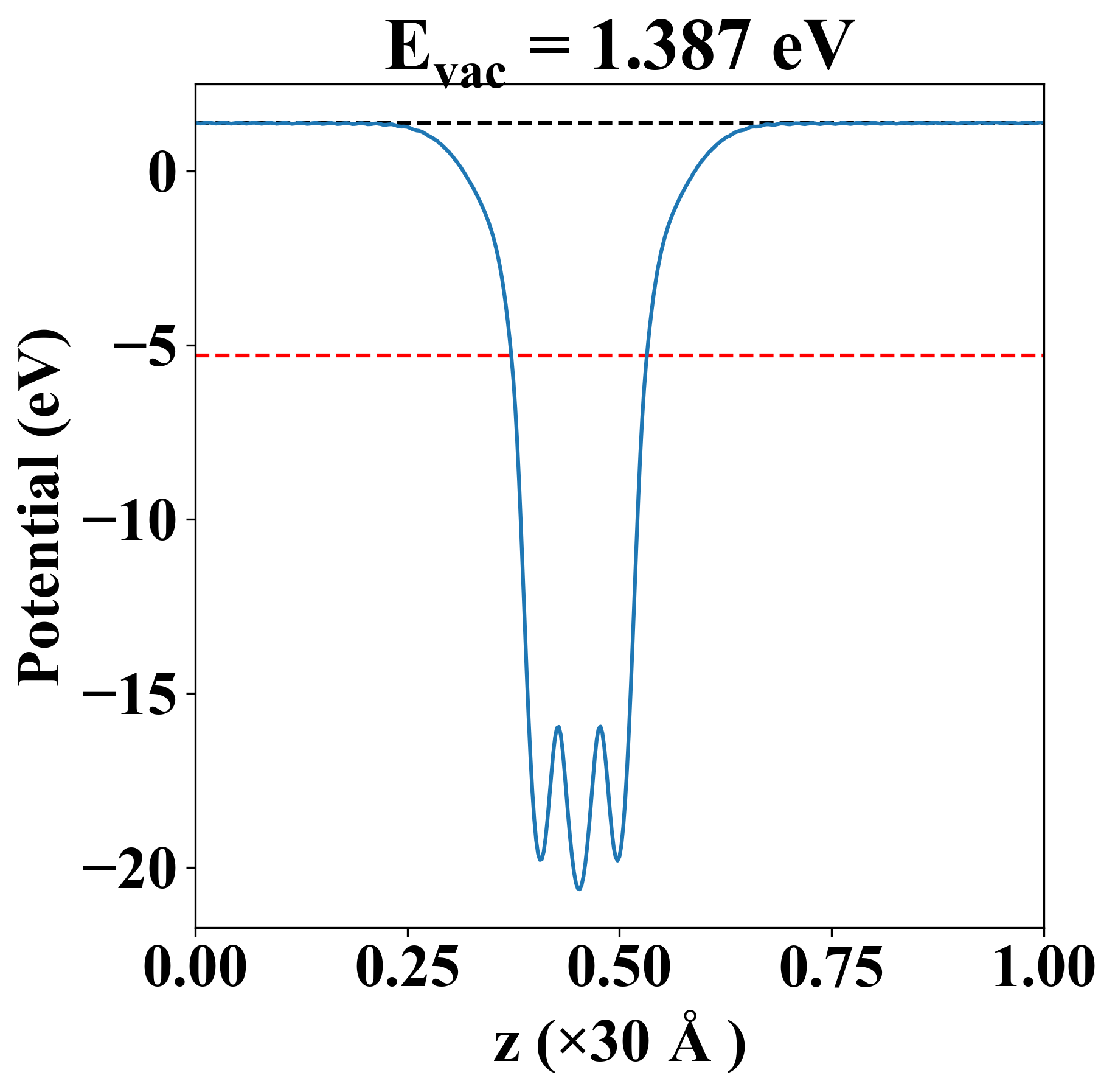
| Vacuum level |
1.387 eV |
| VBM |
-5.607 eV |
| CBM |
-2.689 eV |
| Work function |
6.680 eV |
| Direct gap |
No |
| Property |
Value |
| Band gap |
2.91 eV |
| E-fermi |
-5.286 eV |
| VBM |
-5.604 eV |
| CBM |
-2.696 eV |
| Free energy (eV) |
-21.095 |
| Free energy / atom (eV) |
-3.516 |
| Property |
Value |
| Band gap |
2.92 eV |
| E-fermi |
-5.293 eV |
| Vacuum level |
1.387 eV |
| VBM |
-5.607 eV |
| CBM |
-2.689 eV |
| Work function |
6.680 eV |
| Cij (N/m) |
xx |
yy |
xy |
| xx |
6.110 |
2.430 |
0.000 |
| yy |
2.430 |
19.532 |
0.000 |
| xy |
0.000 |
0.000 |
2.799 |
| Phonon mode at Γ point (THz) |
| -0.114 |
| -0.035 |
| -0.019 |
| 0.931 |
| 1.116 |
| 1.591 |
| 2.440 |
| 2.698 |
| 2.786 |
| 3.219 |
| 3.852 |
| 3.966 |
| 4.066 |
| 5.025 |
| 6.185 |
| 6.748 |
| 7.757 |
| 8.902 |
| Property |
Value |
| from where |
c2db-1828 |