Cl2Se2W2
MatHub2d-1415-Cl2Se2W2
| Property |
Value |
| Space group |
(59, 'Pmmn') |
| Crystal system |
rectangular |
| Magnetic |
Yes |
| Band gap (PBE) (eV) |
0.00 |
| Free energy (eV) |
-33.351 |
| Free energy / atom (eV) |
-5.558 |
Lattice Parameters (basic)
| a, b, c (Å): | 3.132 | 4.895 | 30.000 |
| α, β, γ (°): | 90.000 | 90.000 | 90.000 |
Lattice Parameters (computed)
| a, b, c (Å): | 3.385 | 5.230 | 30.000 |
| α, β, γ (°): | 90.000 | 90.000 | 90.000 |
| Property |
Value |
| Band gap |
0.00 eV |
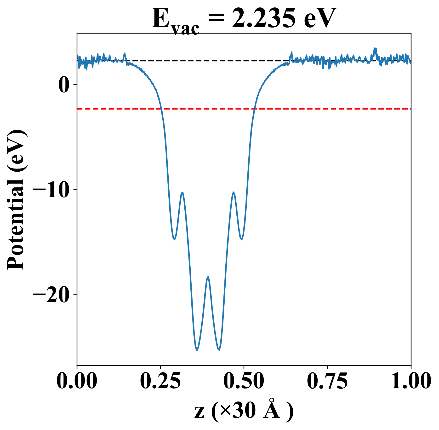
| E-fermi |
-2.356 eV |
| Vacuum level |
2.235 eV |
| VBM |
-2.357 eV |
| CBM |
-2.348 eV |
| Work function |
4.591 eV |
| Direct gap |
No |
| Property |
Value |
| Band gap |
0.00 eV |
| E-fermi |
-2.356 eV |
| Vacuum level |
2.235 eV |
| VBM |
-2.357 eV |
| CBM |
-2.348 eV |
| Work function |
4.591 eV |
| Property |
Value |
| from where |
c2db-428 |