Cl2Se2V2
MatHub2d-1414-Cl2Se2V2
| Property |
Value |
| Space group |
(59, 'Pmmn') |
| Crystal system |
rectangular |
| Magnetic |
Yes |
| Band gap (PBE) (eV) |
0.19 |
| Free energy (eV) |
-30.459 |
| Free energy / atom (eV) |
-5.077 |
Lattice Parameters (basic)
| a, b, c (Å): | 3.422 | 5.142 | 30.000 |
| α, β, γ (°): | 90.000 | 90.000 | 90.000 |
Lattice Parameters (computed)
| a, b, c (Å): | 3.602 | 5.165 | 30.000 |
| α, β, γ (°): | 90.000 | 90.000 | 90.000 |
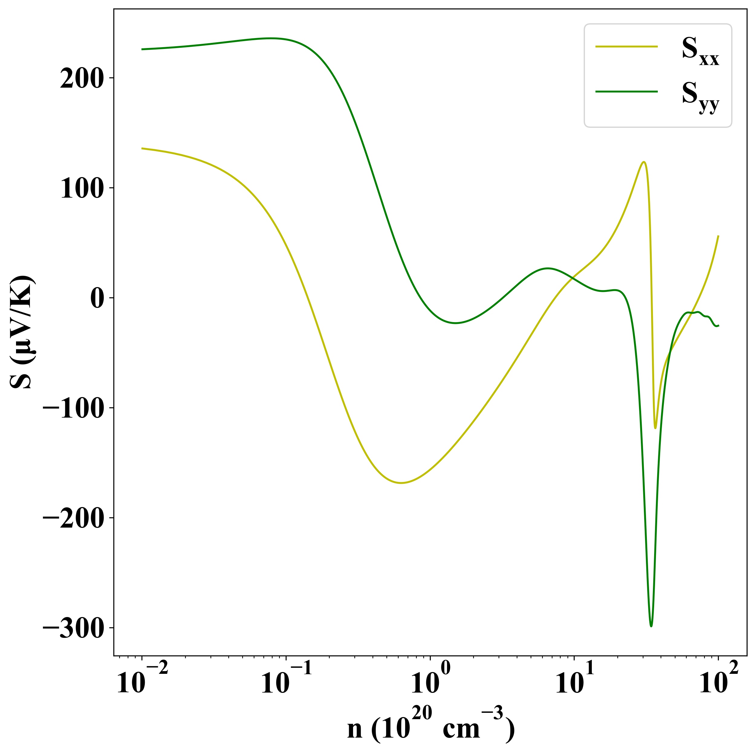
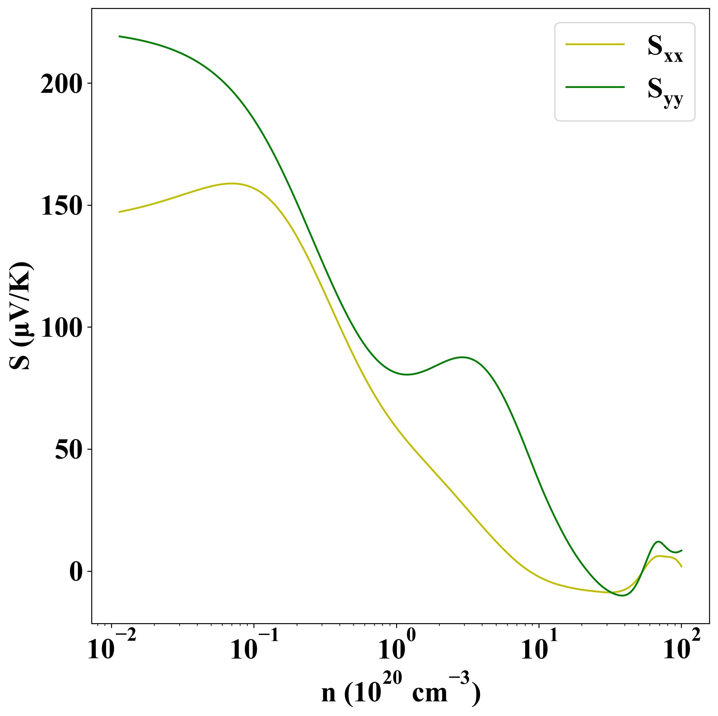
| Property |
Value |
| Band gap |
0.19 eV |
| E-fermi |
-3.507 eV |
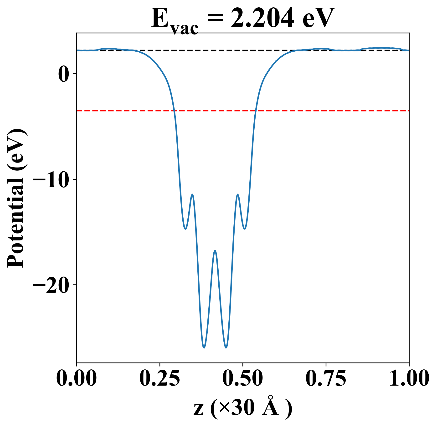
| Vacuum level |
2.204 eV |
| VBM |
-3.597 eV |
| CBM |
-3.412 eV |
| Work function |
5.712 eV |
| Direct gap |
Yes |
| Property |
Value |
| Band gap |
0.15 eV |
| E-fermi |
-3.504 eV |
| VBM |
-3.574 eV |
| CBM |
-3.427 eV |
| Free energy (eV) |
-30.521 |
| Free energy / atom (eV) |
-5.087 |
| Property |
Value |
| Band gap |
0.19 eV |
| E-fermi |
-3.507 eV |
| Vacuum level |
2.204 eV |
| VBM |
-3.597 eV |
| CBM |
-3.412 eV |
| Work function |
5.712 eV |
| Cij (N/m) |
xx |
yy |
xy |
| xx |
52.579 |
11.229 |
0.000 |
| yy |
11.229 |
76.243 |
0.000 |
| xy |
0.000 |
0.000 |
16.737 |
| Phonon mode at Γ point (THz) |
| Property |
Value |
| from where |
c2db-410 |