Cl2Se2Tl2
MatHub2d-1413-Cl2Se2Tl2
| Property |
Value |
| Space group |
(59, 'Pmmn') |
| Crystal system |
rectangular |
| Magnetic |
No |
| Band gap (PBE) (eV) |
0.00 |
| Free energy (eV) |
-17.154 |
| Free energy / atom (eV) |
-2.859 |
Lattice Parameters (basic)
| a, b, c (Å): | 4.123 | 4.500 | 30.000 |
| α, β, γ (°): | 90.000 | 90.000 | 90.000 |
Lattice Parameters (computed)
| a, b, c (Å): | 4.126 | 4.500 | 30.000 |
| α, β, γ (°): | 90.000 | 90.000 | 90.000 |
| Property |
Value |
| Band gap |
0.00 eV |
| E-fermi |
-3.135 eV |
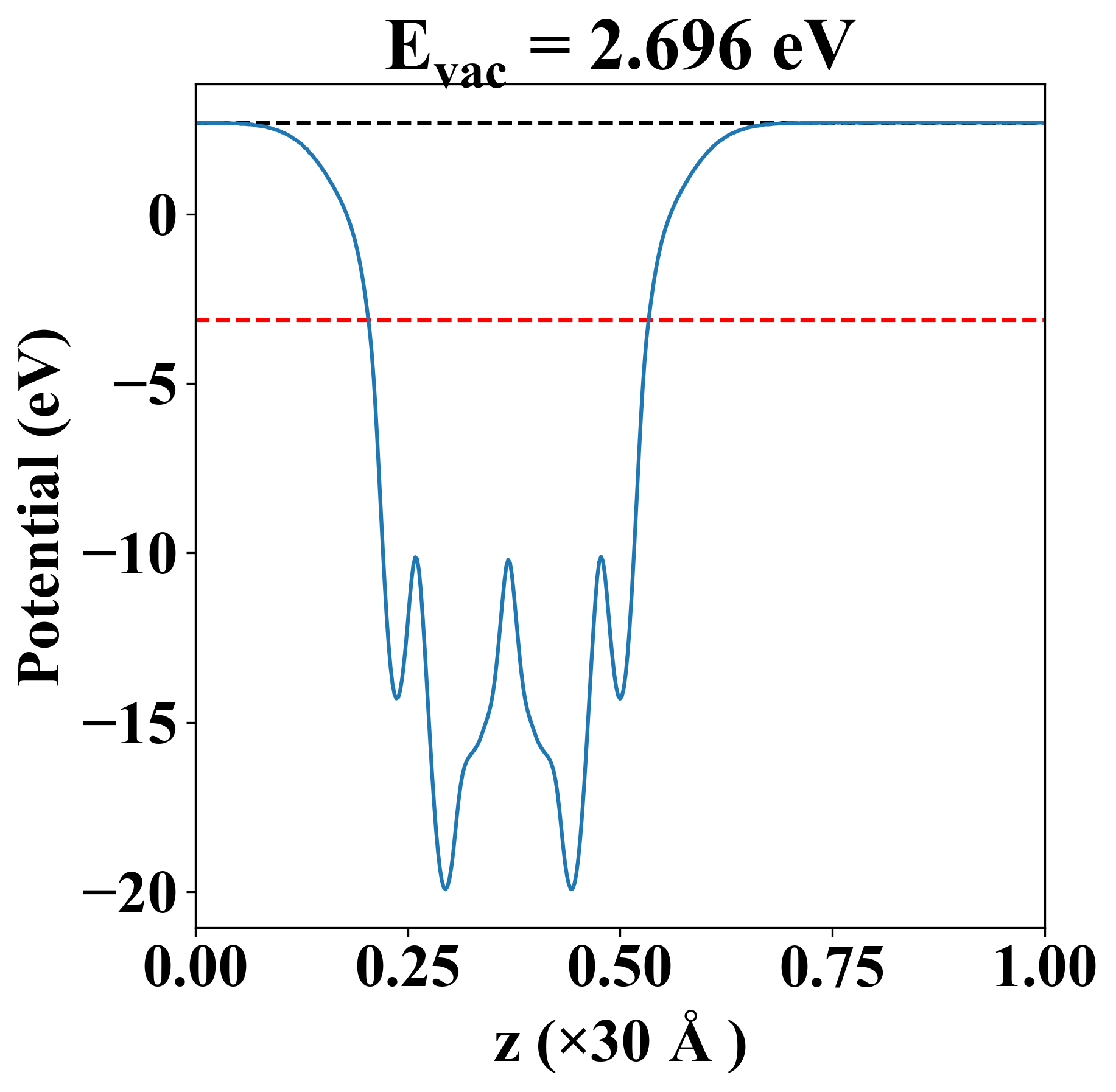
| Vacuum level |
2.696 eV |
| VBM |
-3.136 eV |
| CBM |
-3.134 eV |
| Work function |
5.831 eV |
| Direct gap |
No |
| Property |
Value |
| Band gap |
0.00 eV |
| E-fermi |
-3.135 eV |
| Vacuum level |
2.696 eV |
| VBM |
-3.136 eV |
| CBM |
-3.134 eV |
| Work function |
5.831 eV |
| Cij (N/m) |
xx |
yy |
xy |
| xx |
25.848 |
-5.646 |
0.000 |
| yy |
-5.646 |
22.301 |
0.000 |
| xy |
0.000 |
0.000 |
2.014 |
| Phonon mode at Γ point (THz) |
| Property |
Value |
| from where |
c2db-395 |