Cl2Se2Ti2
MatHub2d-1412-Cl2Se2Ti2
| Property |
Value |
| Space group |
(59, 'Pmmn') |
| Crystal system |
rectangular |
| Magnetic |
Yes |
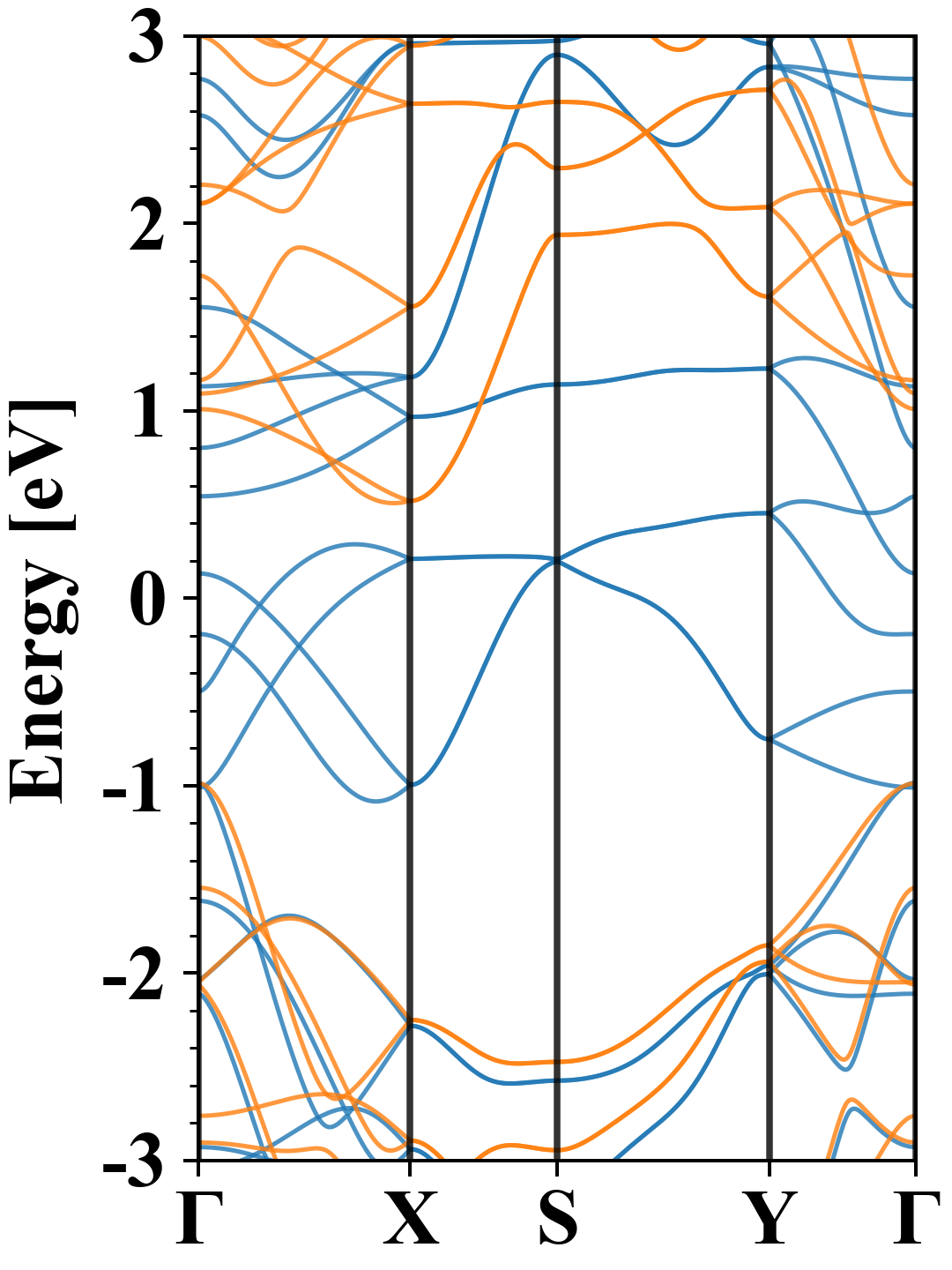
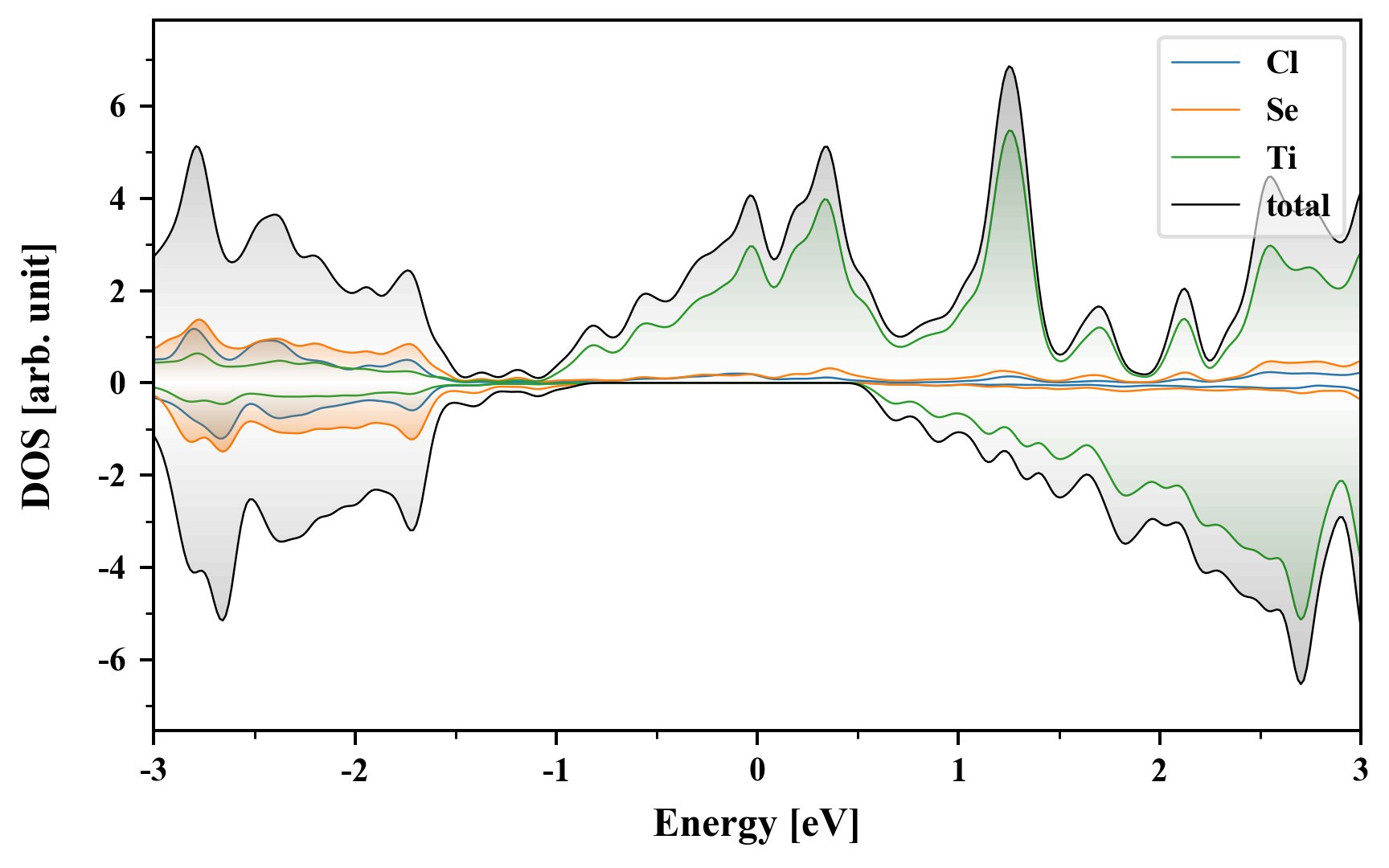
| Band gap (PBE) (eV) |
0.00 |
| Free energy (eV) |
-28.323 |
| Free energy / atom (eV) |
-4.721 |
Lattice Parameters (basic)
| a, b, c (Å): | 3.499 | 5.093 | 30.000 |
| α, β, γ (°): | 90.000 | 90.000 | 90.000 |
Lattice Parameters (computed)
| a, b, c (Å): | 3.631 | 5.245 | 30.000 |
| α, β, γ (°): | 90.000 | 90.000 | 90.000 |
| Property |
Value |
| Band gap |
0.00 eV |
| E-fermi |
-3.094 eV |
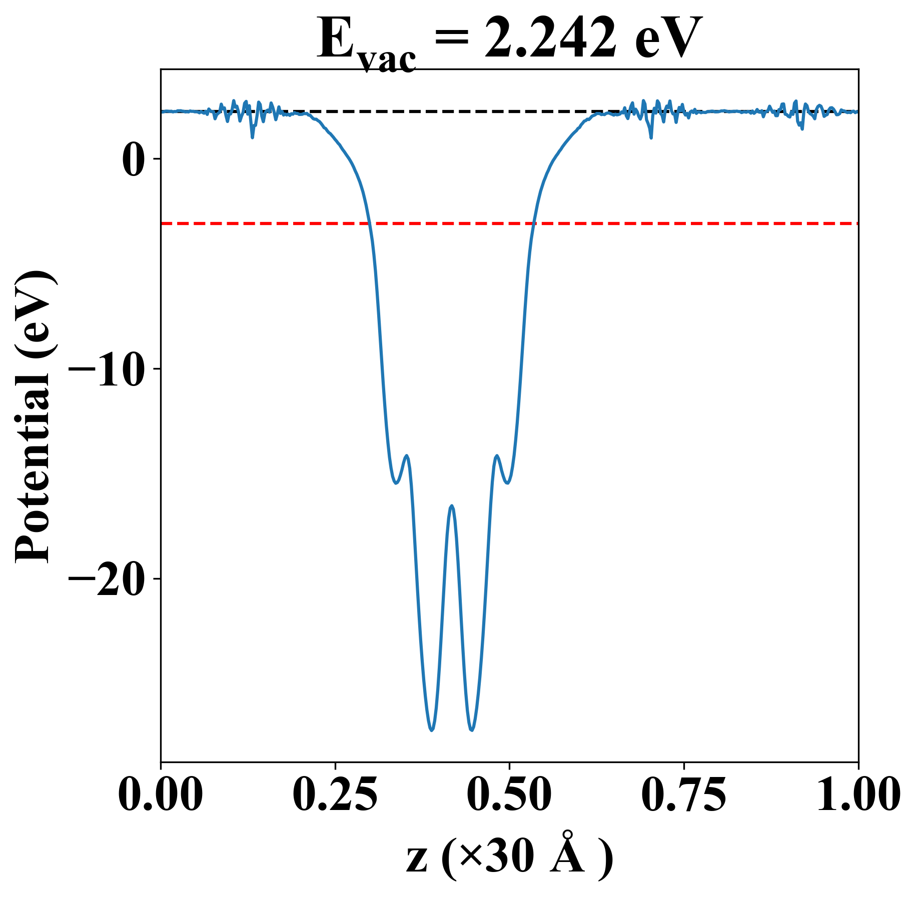
| Vacuum level |
2.242 eV |
| VBM |
-3.095 eV |
| CBM |
-3.091 eV |
| Work function |
5.337 eV |
| Direct gap |
No |
| Property |
Value |
| Band gap |
0.00 eV |
| E-fermi |
-3.094 eV |
| Vacuum level |
2.242 eV |
| VBM |
-3.095 eV |
| CBM |
-3.091 eV |
| Work function |
5.337 eV |
| Cij (N/m) |
xx |
yy |
xy |
| xx |
55.378 |
10.370 |
0.000 |
| yy |
10.370 |
116.055 |
0.000 |
| xy |
0.000 |
0.000 |
18.291 |
| Phonon mode at Γ point (THz) |
| Property |
Value |
| from where |
c2db-383 |