Cl2Se2Ta2
MatHub2d-1411-Cl2Se2Ta2
| Property |
Value |
| Space group |
(59, 'Pmmn') |
| Crystal system |
rectangular |
| Magnetic |
No |
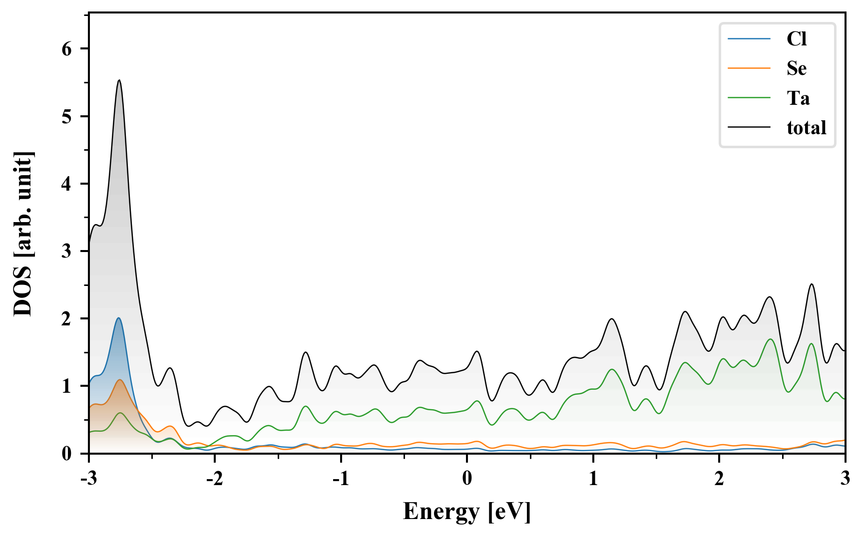
| Band gap (PBE) (eV) |
0.00 |
| Free energy (eV) |
-36.146 |
| Free energy / atom (eV) |
-6.024 |
Lattice Parameters (basic)
| a, b, c (Å): | 3.401 | 4.990 | 30.000 |
| α, β, γ (°): | 90.000 | 90.000 | 90.000 |
Lattice Parameters (computed)
| a, b, c (Å): | 3.417 | 5.017 | 30.000 |
| α, β, γ (°): | 90.000 | 90.000 | 90.000 |
| Property |
Value |
| Band gap |
0.00 eV |
| E-fermi |
-2.363 eV |
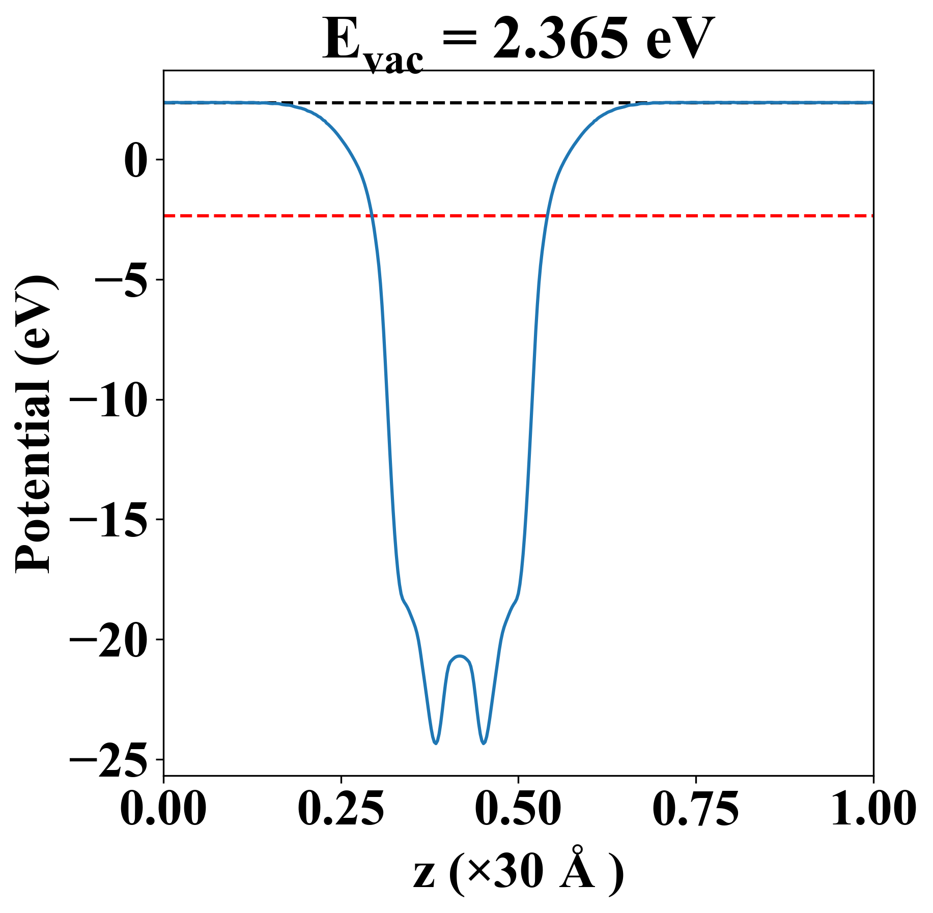
| Vacuum level |
2.365 eV |
| VBM |
-2.365 eV |
| CBM |
-2.360 eV |
| Work function |
4.728 eV |
| Direct gap |
No |
| Property |
Value |
| Band gap |
0.00 eV |
| E-fermi |
-2.363 eV |
| Vacuum level |
2.365 eV |
| VBM |
-2.365 eV |
| CBM |
-2.360 eV |
| Work function |
4.728 eV |
| Cij (N/m) |
xx |
yy |
xy |
| xx |
76.774 |
8.966 |
0.000 |
| yy |
8.966 |
169.433 |
0.000 |
| xy |
0.000 |
0.000 |
28.330 |
| Phonon mode at Γ point (THz) |
| Property |
Value |
| from where |
c2db-370 |