Cl2S2W2
MatHub2d-1407-Cl2S2W2
| Property |
Value |
| Space group |
(59, 'Pmmn') |
| Crystal system |
rectangular |
| Magnetic |
Yes |
| Band gap (PBE) (eV) |
0.00 |
| Free energy (eV) |
-35.507 |
| Free energy / atom (eV) |
-5.918 |
Lattice Parameters (basic)
| a, b, c (Å): | 3.062 | 4.643 | 30.000 |
| α, β, γ (°): | 90.000 | 90.000 | 90.000 |
Lattice Parameters (computed)
| a, b, c (Å): | 3.239 | 4.942 | 30.000 |
| α, β, γ (°): | 90.000 | 90.000 | 90.000 |
| Property |
Value |
| Band gap |
0.00 eV |
| E-fermi |
-2.252 eV |
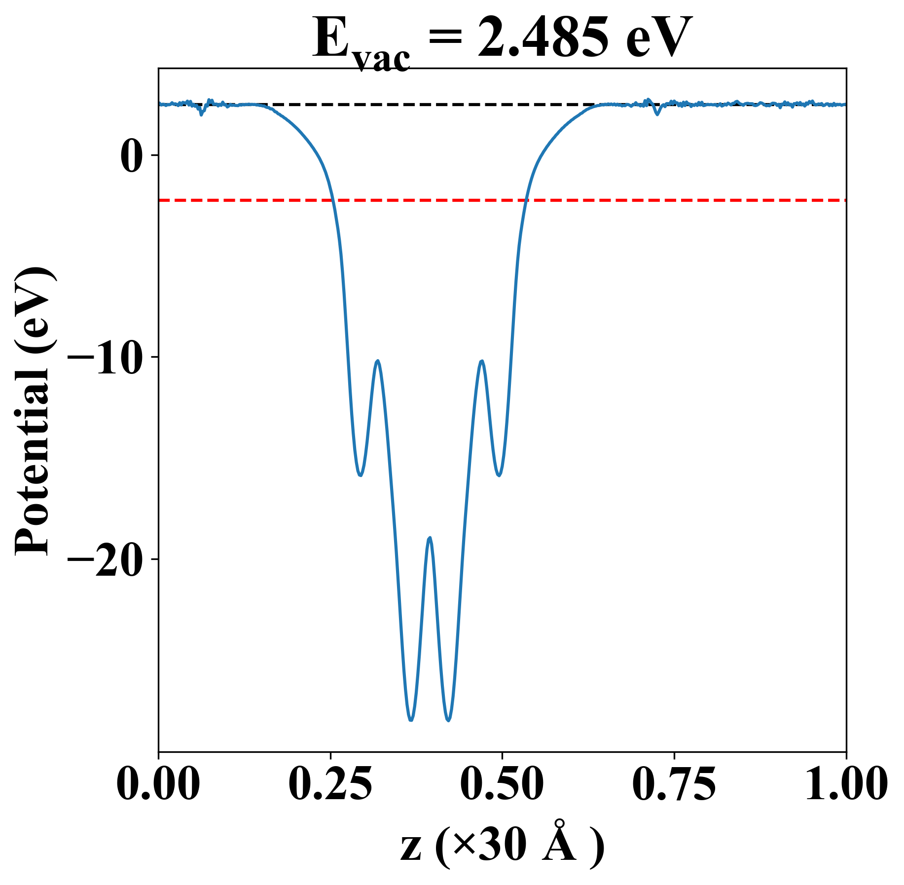
| Vacuum level |
2.485 eV |
| VBM |
-2.253 eV |
| CBM |
-2.251 eV |
| Work function |
4.737 eV |
| Direct gap |
No |
| Property |
Value |
| Band gap |
0.00 eV |
| E-fermi |
-2.252 eV |
| Vacuum level |
2.485 eV |
| VBM |
-2.253 eV |
| CBM |
-2.251 eV |
| Work function |
4.737 eV |
| Cij (N/m) |
xx |
yy |
xy |
| xx |
84.611 |
13.372 |
0.000 |
| yy |
13.372 |
131.702 |
0.000 |
| xy |
0.000 |
0.000 |
19.762 |
| Phonon mode at Γ point (THz) |
| Property |
Value |
| from where |
c2db-427 |