Cl2S2V2
MatHub2d-1406-Cl2S2V2
| Property |
Value |
| Space group |
(59, 'Pmmn') |
| Crystal system |
rectangular |
| Magnetic |
Yes |
| Band gap (PBE) (eV) |
0.46 |
| Free energy (eV) |
-32.430 |
| Free energy / atom (eV) |
-5.405 |
Lattice Parameters (basic)
| a, b, c (Å): | 3.355 | 4.811 | 30.000 |
| α, β, γ (°): | 90.000 | 90.000 | 90.000 |
Lattice Parameters (computed)
| a, b, c (Å): | 3.458 | 4.989 | 30.000 |
| α, β, γ (°): | 90.000 | 90.000 | 90.000 |
| Property |
Value |
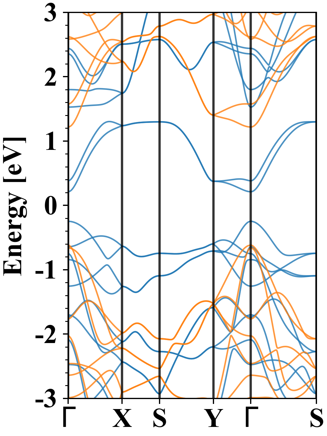
| Band gap |
0.46 eV |
| E-fermi |
-3.684 eV |
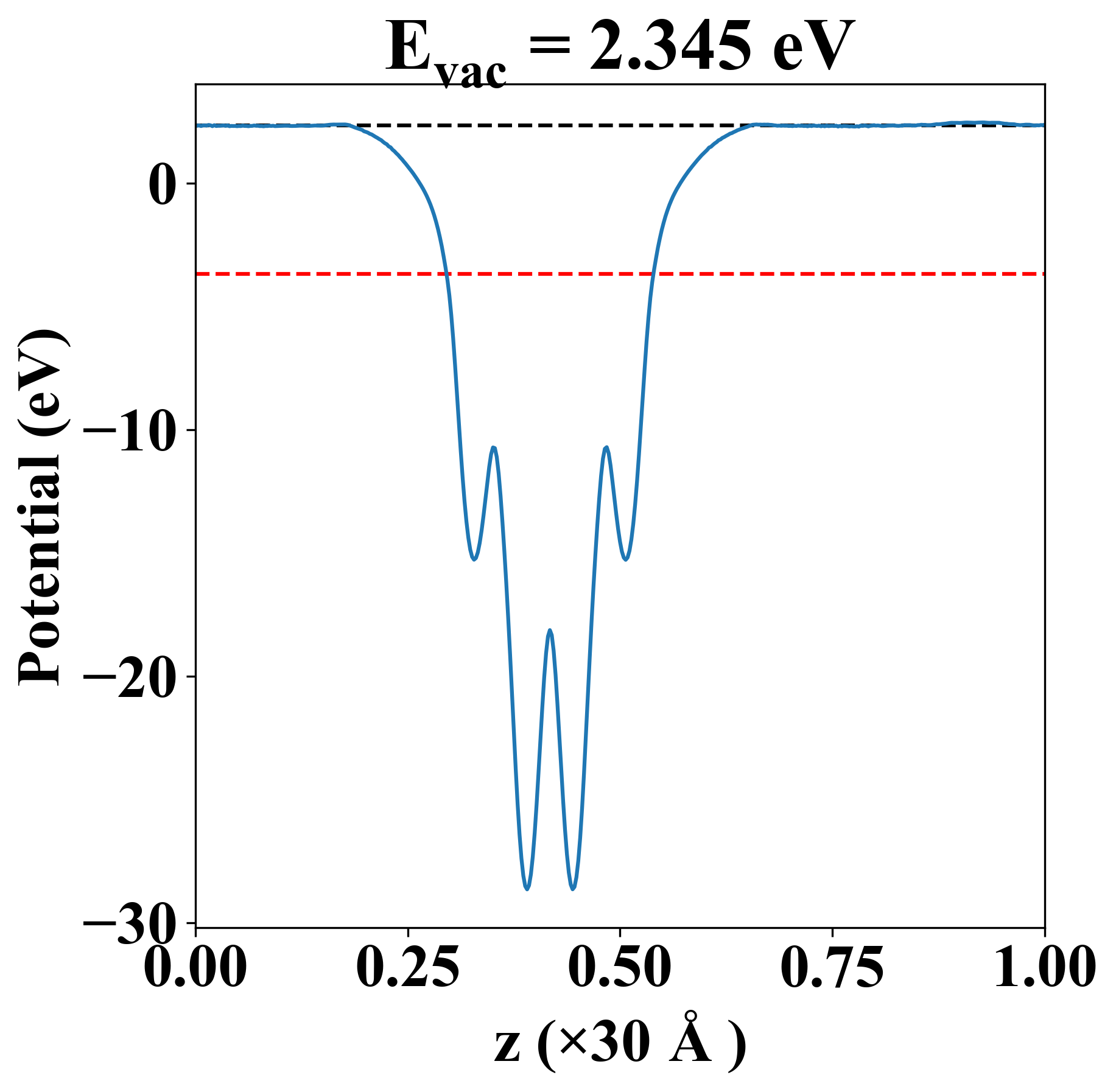
| Vacuum level |
2.345 eV |
| VBM |
-3.932 eV |
| CBM |
-3.473 eV |
| Work function |
6.029 eV |
| Direct gap |
Yes |
| Property |
Value |
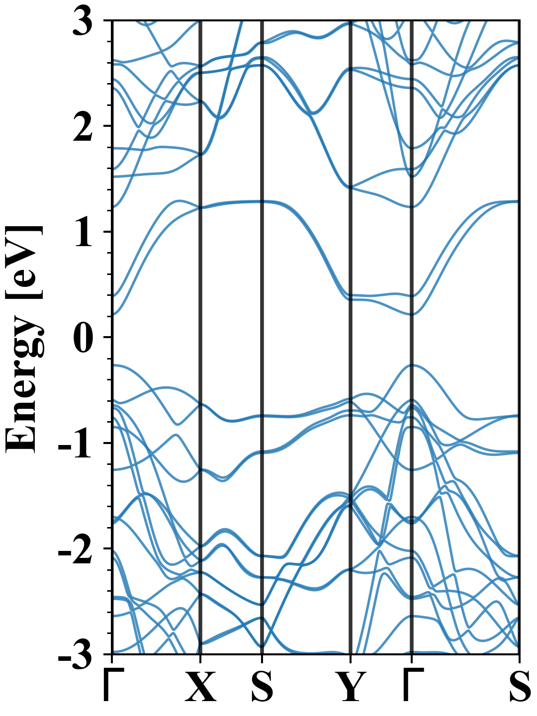
| Band gap |
0.48 eV |
| E-fermi |
-3.699 eV |
| VBM |
-3.964 eV |
| CBM |
-3.483 eV |
| Free energy (eV) |
-32.454 |
| Free energy / atom (eV) |
-5.409 |
| Property |
Value |
| Band gap |
0.46 eV |
| E-fermi |
-3.684 eV |
| Vacuum level |
2.345 eV |
| VBM |
-3.932 eV |
| CBM |
-3.473 eV |
| Work function |
6.029 eV |
| Cij (N/m) |
xx |
yy |
xy |
| xx |
65.562 |
9.283 |
0.000 |
| yy |
9.283 |
69.244 |
0.000 |
| xy |
0.000 |
0.000 |
13.152 |
| Phonon mode at Γ point (THz) |
| Property |
Value |
| from where |
c2db-409 |