Cl2S2Tl2
MatHub2d-1405-Cl2S2Tl2
| Property |
Value |
| Space group |
(59, 'Pmmn') |
| Crystal system |
rectangular |
| Magnetic |
No |
| Band gap (PBE) (eV) |
0.12 |
| Free energy (eV) |
-18.021 |
| Free energy / atom (eV) |
-3.003 |
Lattice Parameters (basic)
| a, b, c (Å): | 4.090 | 4.226 | 30.000 |
| α, β, γ (°): | 90.000 | 90.000 | 90.000 |
Lattice Parameters (computed)
| a, b, c (Å): | 4.101 | 4.235 | 30.000 |
| α, β, γ (°): | 90.000 | 90.000 | 90.000 |
| Property |
Value |
| Band gap |
0.12 eV |
| E-fermi |
-3.426 eV |
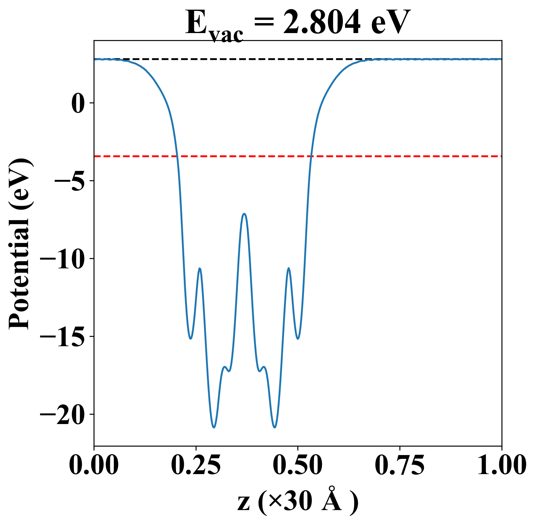
| Vacuum level |
2.804 eV |
| VBM |
-3.496 eV |
| CBM |
-3.381 eV |
| Work function |
6.231 eV |
| Direct gap |
No |
| Property |
Value |
| Band gap |
0.13 eV |
| E-fermi |
-3.423 eV |
| VBM |
-3.498 eV |
| CBM |
-3.369 eV |
| Free energy (eV) |
-18.550 |
| Free energy / atom (eV) |
-3.092 |
| Property |
Value |
| Band gap |
0.12 eV |
| E-fermi |
-3.426 eV |
| Vacuum level |
2.804 eV |
| VBM |
-3.496 eV |
| CBM |
-3.381 eV |
| Work function |
6.231 eV |
| Cij (N/m) |
xx |
yy |
xy |
| xx |
30.376 |
-3.354 |
0.000 |
| yy |
-3.354 |
33.577 |
0.000 |
| xy |
0.000 |
0.000 |
3.098 |
| Phonon mode at Γ point (THz) |
| Property |
Value |
| from where |
c2db-394 |