Cl2S2Ta2
MatHub2d-1403-Cl2S2Ta2
| Property |
Value |
| Space group |
(59, 'Pmmn') |
| Crystal system |
rectangular |
| Magnetic |
|
| Band gap (PBE) (eV) |
0.01 |
| Free energy (eV) |
-38.508 |
| Free energy / atom (eV) |
-6.418 |
Lattice Parameters (basic)
| a, b, c (Å): | 3.364 | 4.790 | 30.000 |
| α, β, γ (°): | 90.000 | 90.000 | 90.000 |
Lattice Parameters (computed)
| a, b, c (Å): | 3.392 | 4.806 | 30.000 |
| α, β, γ (°): | 90.000 | 90.000 | 90.000 |
| Property |
Value |
| Band gap |
0.01 eV |
| E-fermi |
-2.313 eV |
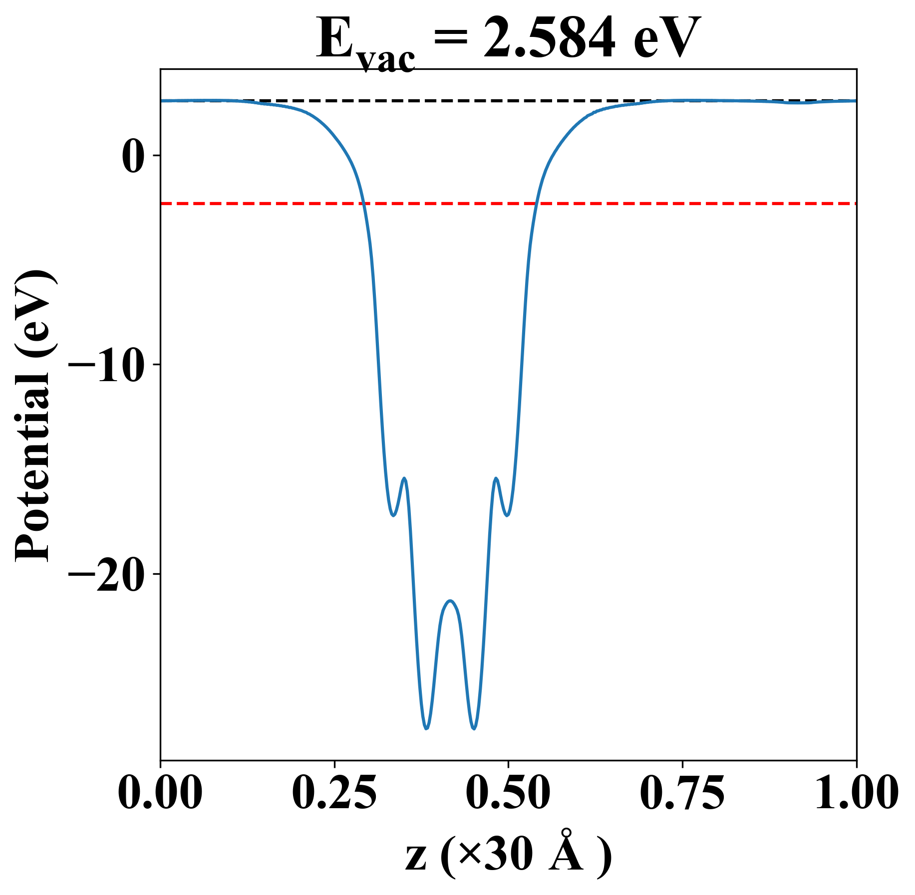
| Vacuum level |
2.584 eV |
| VBM |
-2.315 eV |
| CBM |
-2.310 eV |
| Work function |
4.897 eV |
| Direct gap |
No |
| Property |
Value |
| Band gap |
0.01 eV |
| E-fermi |
-2.313 eV |
| Vacuum level |
2.584 eV |
| VBM |
-2.315 eV |
| CBM |
-2.310 eV |
| Work function |
4.897 eV |
| Cij (N/m) |
xx |
yy |
xy |
| xx |
84.711 |
8.718 |
0.000 |
| yy |
8.718 |
204.396 |
0.000 |
| xy |
0.000 |
0.000 |
29.196 |
| Phonon mode at Γ point (THz) |
| Property |
Value |
| from where |
c2db-369 |