Cl2S2Sn2
MatHub2d-1402-Cl2S2Sn2
| Property |
Value |
| Space group |
(59, 'Pmmn') |
| Crystal system |
rectangular |
| Magnetic |
No |
| Band gap (PBE) (eV) |
0.00 |
| Free energy (eV) |
-23.319 |
| Free energy / atom (eV) |
-3.886 |
Lattice Parameters (basic)
| a, b, c (Å): | 3.922 | 5.307 | 30.000 |
| α, β, γ (°): | 90.000 | 90.000 | 90.000 |
Lattice Parameters (computed)
| a, b, c (Å): | 3.924 | 5.234 | 30.000 |
| α, β, γ (°): | 90.000 | 90.000 | 90.000 |
| Property |
Value |
| Band gap |
0.00 eV |
| E-fermi |
-3.446 eV |
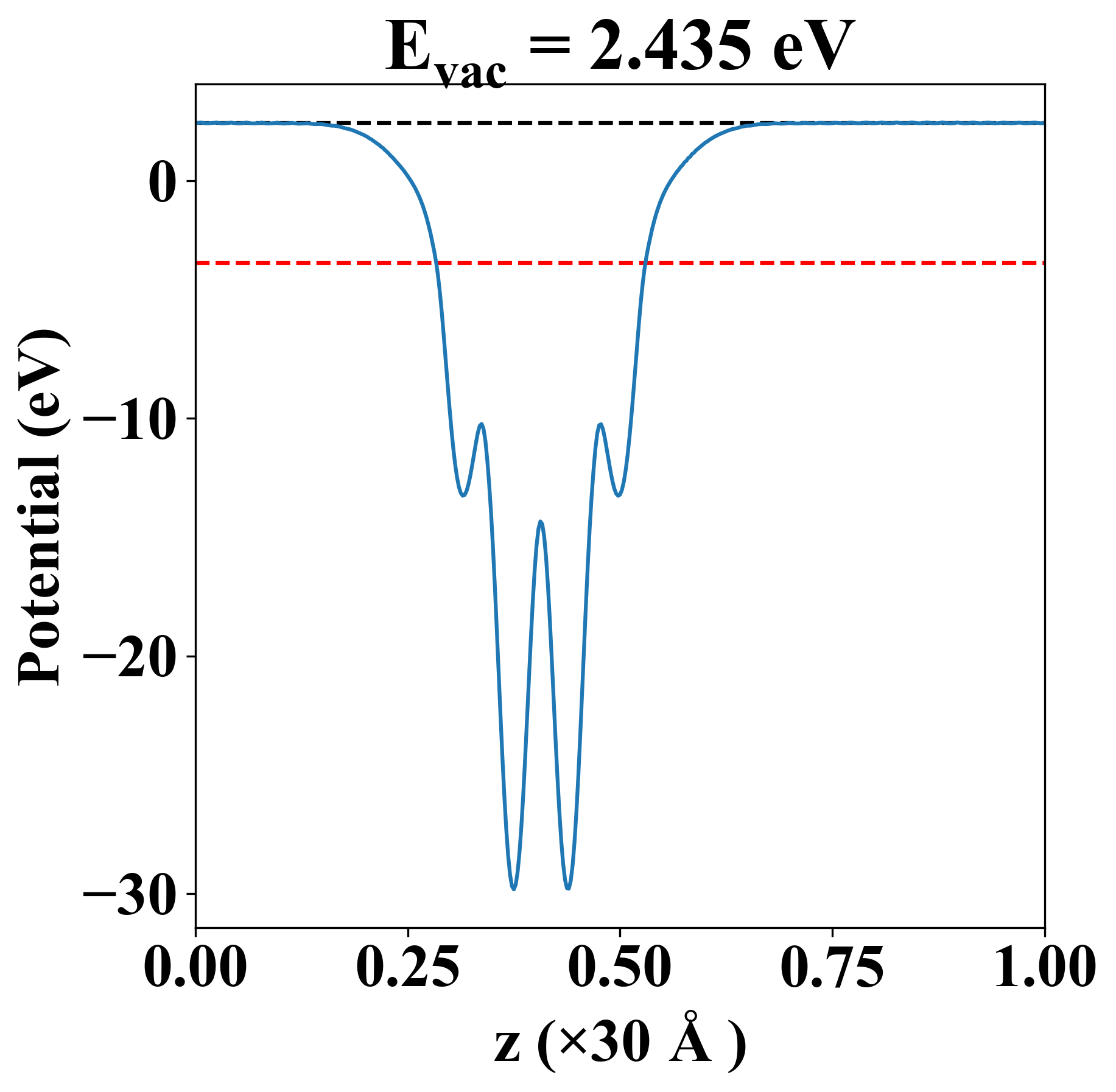
| Vacuum level |
2.435 eV |
| VBM |
-3.448 eV |
| CBM |
-3.445 eV |
| Work function |
5.880 eV |
| Direct gap |
No |
| Property |
Value |
| Band gap |
0.00 eV |
| E-fermi |
-3.446 eV |
| Vacuum level |
2.435 eV |
| VBM |
-3.448 eV |
| CBM |
-3.445 eV |
| Work function |
5.880 eV |
| Cij (N/m) |
xx |
yy |
xy |
| xx |
35.873 |
9.232 |
0.000 |
| yy |
9.232 |
82.888 |
0.000 |
| xy |
0.000 |
0.000 |
13.228 |
| Phonon mode at Γ point (THz) |
| -0.011 |
| -0.011 |
| -0.004 |
| 1.018 |
| 1.781 |
| 1.947 |
| 2.434 |
| 2.598 |
| 2.853 |
| 3.932 |
| 5.320 |
| 5.376 |
| 5.993 |
| 6.156 |
| 6.971 |
| 7.085 |
| 7.570 |
| 8.299 |
| Property |
Value |
| from where |
c2db-358 |