Cl2S2Sc2
MatHub2d-1401-Cl2S2Sc2
| Property |
Value |
| Space group |
(59, 'Pmmn') |
| Crystal system |
rectangular |
| Magnetic |
No |
| Band gap (PBE) (eV) |
2.49 |
| Free energy (eV) |
-34.298 |
| Free energy / atom (eV) |
-5.716 |
Lattice Parameters (basic)
| a, b, c (Å): | 3.688 | 5.107 | 30.000 |
| α, β, γ (°): | 90.000 | 90.000 | 90.000 |
Lattice Parameters (computed)
| a, b, c (Å): | 3.744 | 5.175 | 30.000 |
| α, β, γ (°): | 90.000 | 90.000 | 90.000 |
| Property |
Value |
| Band gap |
2.49 eV |
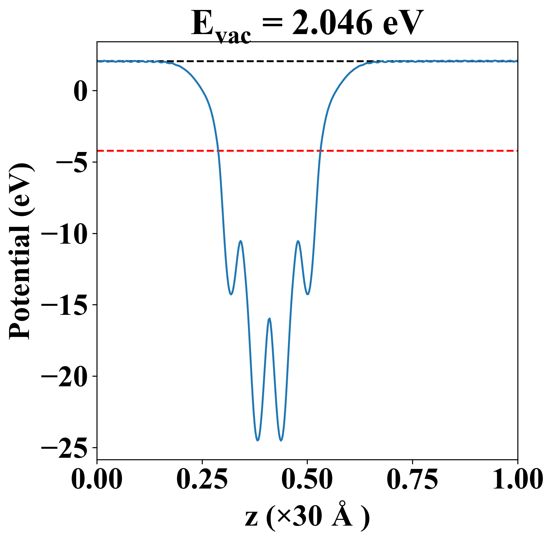
| E-fermi |
-4.230 eV |
| Vacuum level |
2.046 eV |
| VBM |
-4.633 eV |
| CBM |
-2.146 eV |
| Work function |
6.276 eV |
| Direct gap |
No |
| Property |
Value |
| Band gap |
2.47 eV |
| E-fermi |
-4.398 eV |
| VBM |
-4.623 eV |
| CBM |
-2.151 eV |
| Free energy (eV) |
-34.310 |
| Free energy / atom (eV) |
-5.718 |
| Property |
Value |
| Band gap |
2.49 eV |
| E-fermi |
-4.230 eV |
| Vacuum level |
2.046 eV |
| VBM |
-4.633 eV |
| CBM |
-2.146 eV |
| Work function |
6.276 eV |
| Cij (N/m) |
xx |
yy |
xy |
| xx |
68.486 |
12.881 |
0.000 |
| yy |
12.881 |
79.937 |
0.000 |
| xy |
0.000 |
0.000 |
21.226 |
| Phonon mode at Γ point (THz) |
| Property |
Value |
| from where |
c2db-346 |