Cl2Ru2S2
MatHub2d-1399-Cl2Ru2S2
| Property |
Value |
| Space group |
(59, 'Pmmn') |
| Crystal system |
rectangular |
| Magnetic |
No |
| Band gap (PBE) (eV) |
0.00 |
| Free energy (eV) |
-26.420 |
| Free energy / atom (eV) |
-4.403 |
Lattice Parameters (basic)
| a, b, c (Å): | 3.613 | 4.341 | 30.000 |
| α, β, γ (°): | 90.000 | 90.000 | 90.000 |
Lattice Parameters (computed)
| a, b, c (Å): | 3.631 | 4.330 | 30.000 |
| α, β, γ (°): | 90.000 | 90.000 | 90.000 |
| Property |
Value |
| Band gap |
0.00 eV |
| E-fermi |
-3.622 eV |
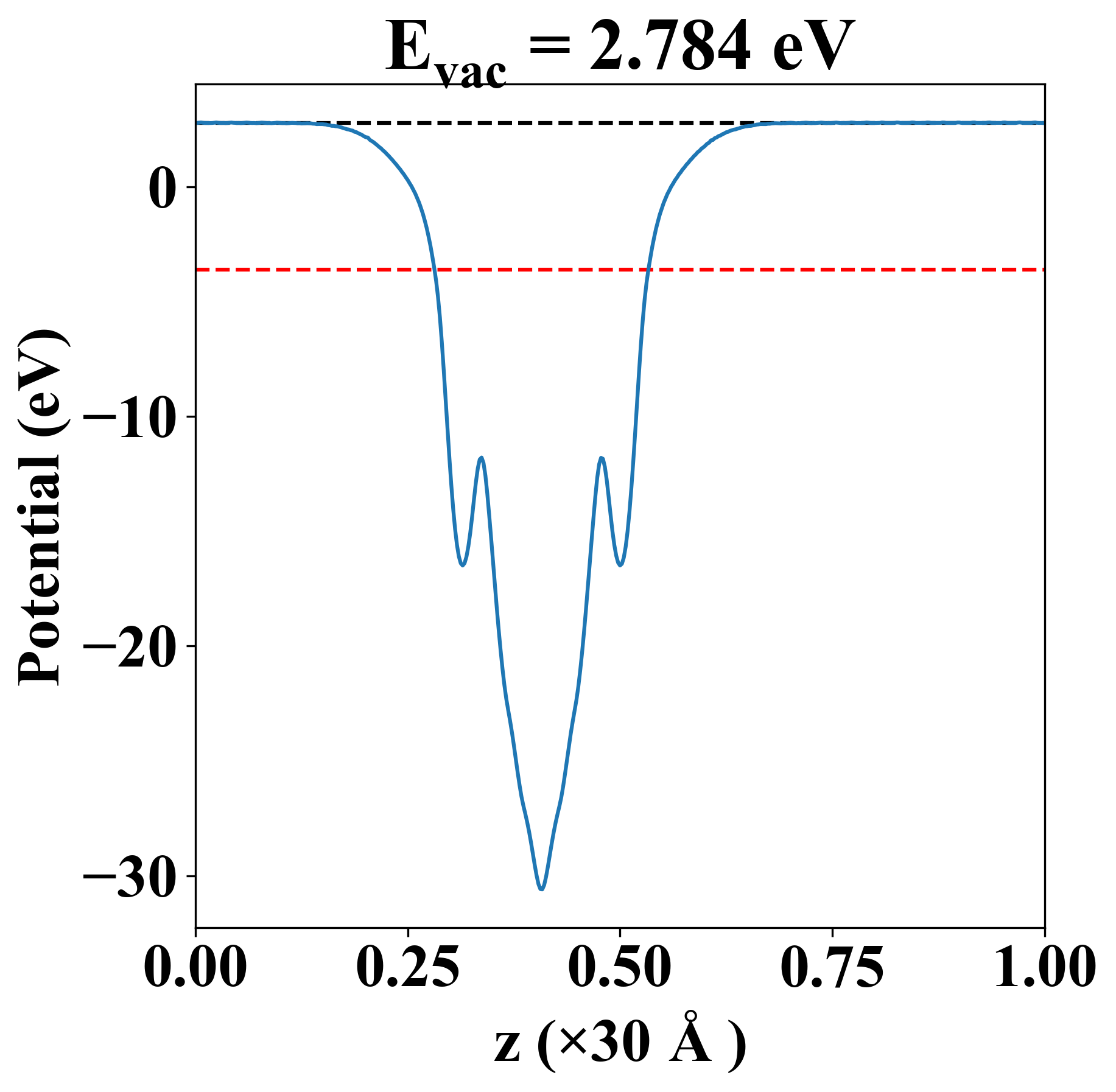
| Vacuum level |
2.784 eV |
| VBM |
-3.623 eV |
| CBM |
-3.617 eV |
| Work function |
6.406 eV |
| Direct gap |
No |
| Property |
Value |
| Band gap |
0.00 eV |
| E-fermi |
-3.622 eV |
| Vacuum level |
2.784 eV |
| VBM |
-3.623 eV |
| CBM |
-3.617 eV |
| Work function |
6.406 eV |
| Cij (N/m) |
xx |
yy |
xy |
| xx |
96.826 |
27.986 |
0.000 |
| yy |
27.986 |
88.183 |
0.000 |
| xy |
0.000 |
0.000 |
26.390 |
| Phonon mode at Γ point (THz) |
| Property |
Value |
| from where |
c2db-331 |