Cl2Rh2Te2
MatHub2d-1398-Cl2Rh2Te2
| Property |
Value |
| Space group |
(11, 'P2_1/m') |
| Crystal system |
rectangular |
| Magnetic |
No |
| Band gap (PBE) (eV) |
1.68 |
| Free energy (eV) |
-21.959 |
| Free energy / atom (eV) |
-3.660 |
Lattice Parameters (basic)
| a, b, c (Å): | 6.635 | 3.690 | 30.000 |
| α, β, γ (°): | 90.000 | 90.000 | 90.000 |
Lattice Parameters (computed)
| a, b, c (Å): | 6.653 | 3.693 | 30.000 |
| α, β, γ (°): | 90.000 | 90.000 | 90.000 |
| Property |
Value |
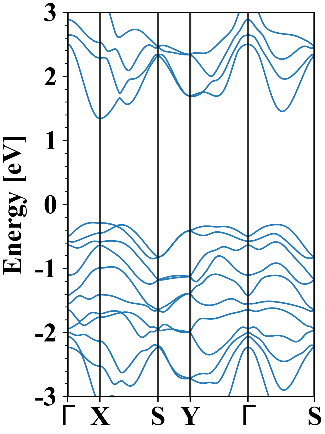
| Band gap |
1.68 eV |
| E-fermi |
-3.688 eV |
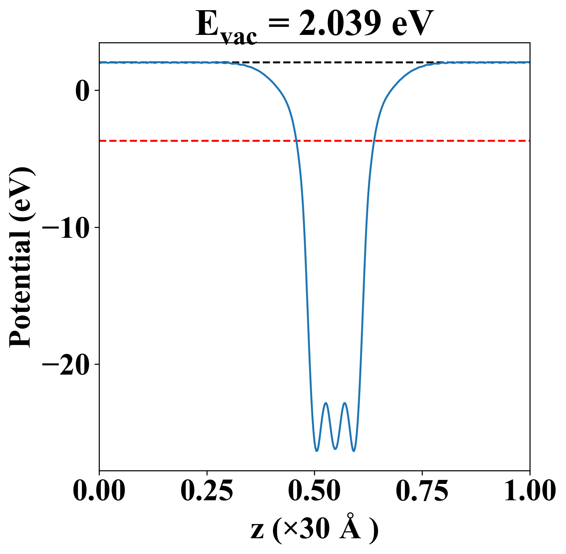
| Vacuum level |
2.039 eV |
| VBM |
-3.900 eV |
| CBM |
-2.215 eV |
| Work function |
5.727 eV |
| Direct gap |
No |
| Property |
Value |
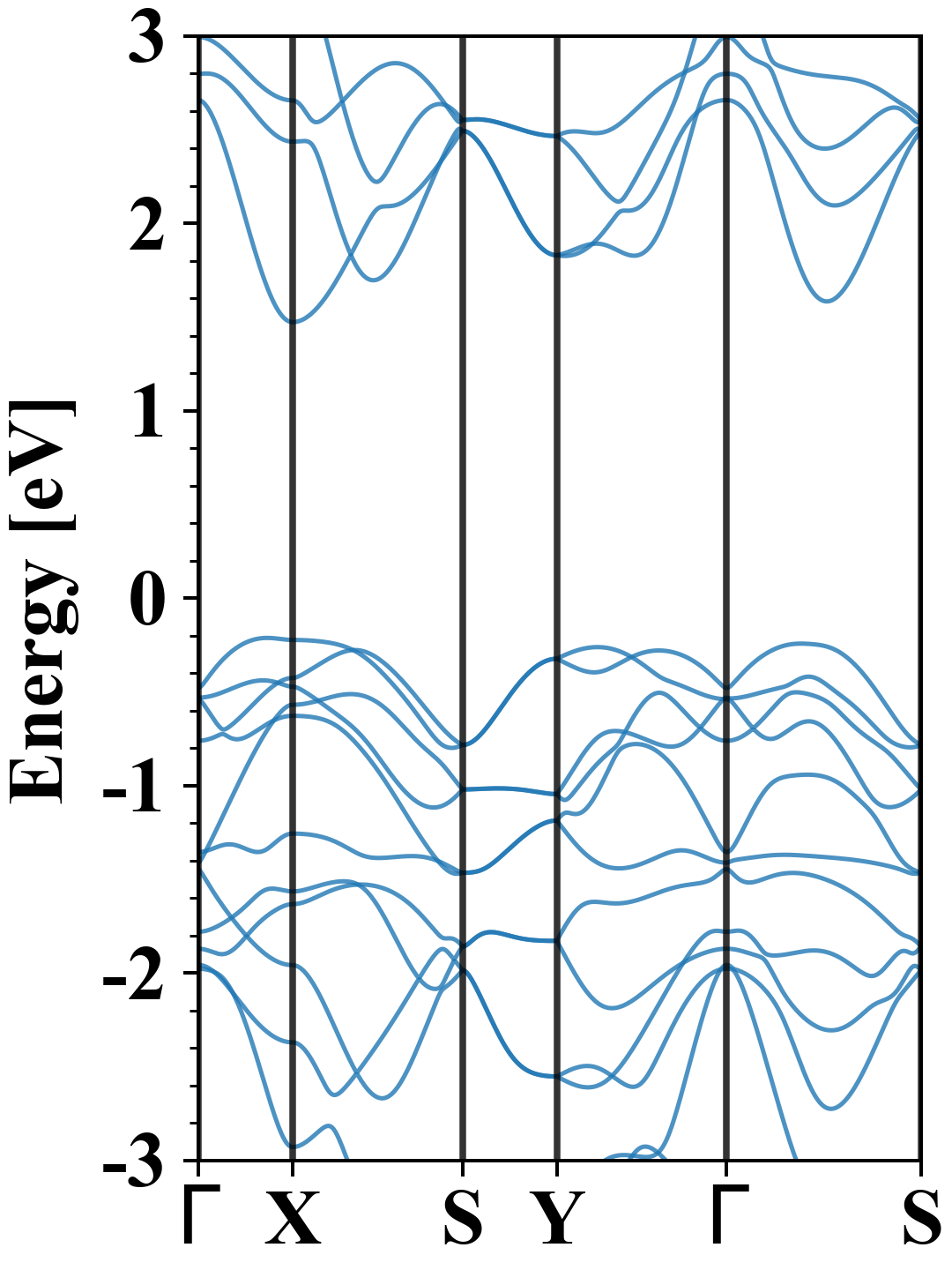
| Band gap |
1.63 eV |
| E-fermi |
-3.554 eV |
| VBM |
-3.839 eV |
| CBM |
-2.213 eV |
| Free energy (eV) |
-22.474 |
| Free energy / atom (eV) |
-3.746 |
| Property |
Value |
| Band gap |
1.68 eV |
| E-fermi |
-3.688 eV |
| Vacuum level |
2.039 eV |
| VBM |
-3.900 eV |
| CBM |
-2.215 eV |
| Work function |
5.727 eV |
| Cij (N/m) |
xx |
yy |
xy |
| xx |
50.089 |
12.027 |
0.000 |
| yy |
12.027 |
45.247 |
0.000 |
| xy |
0.000 |
0.000 |
15.186 |
| Phonon mode at Γ point (THz) |
| -0.037 |
| -0.022 |
| -0.010 |
| 2.405 |
| 2.909 |
| 3.977 |
| 4.242 |
| 4.549 |
| 4.589 |
| 4.904 |
| 5.564 |
| 5.808 |
| 6.234 |
| 6.251 |
| 6.371 |
| 6.429 |
| 7.022 |
| 7.159 |
| Property |
Value |
| from where |
JVASP-8888 |