Cl2Rh2Se2
MatHub2d-1397-Cl2Rh2Se2
| Property |
Value |
| Space group |
(59, 'Pmmn') |
| Crystal system |
rectangular |
| Magnetic |
|
| Band gap (PBE) (eV) |
0.13 |
| Free energy (eV) |
-22.707 |
| Free energy / atom (eV) |
-3.784 |
Lattice Parameters (basic)
| a, b, c (Å): | 3.616 | 4.952 | 30.000 |
| α, β, γ (°): | 90.000 | 90.000 | 90.000 |
Lattice Parameters (computed)
| a, b, c (Å): | 3.600 | 4.938 | 30.000 |
| α, β, γ (°): | 90.000 | 90.000 | 90.000 |
| Property |
Value |
| Band gap |
0.13 eV |
| E-fermi |
-3.914 eV |
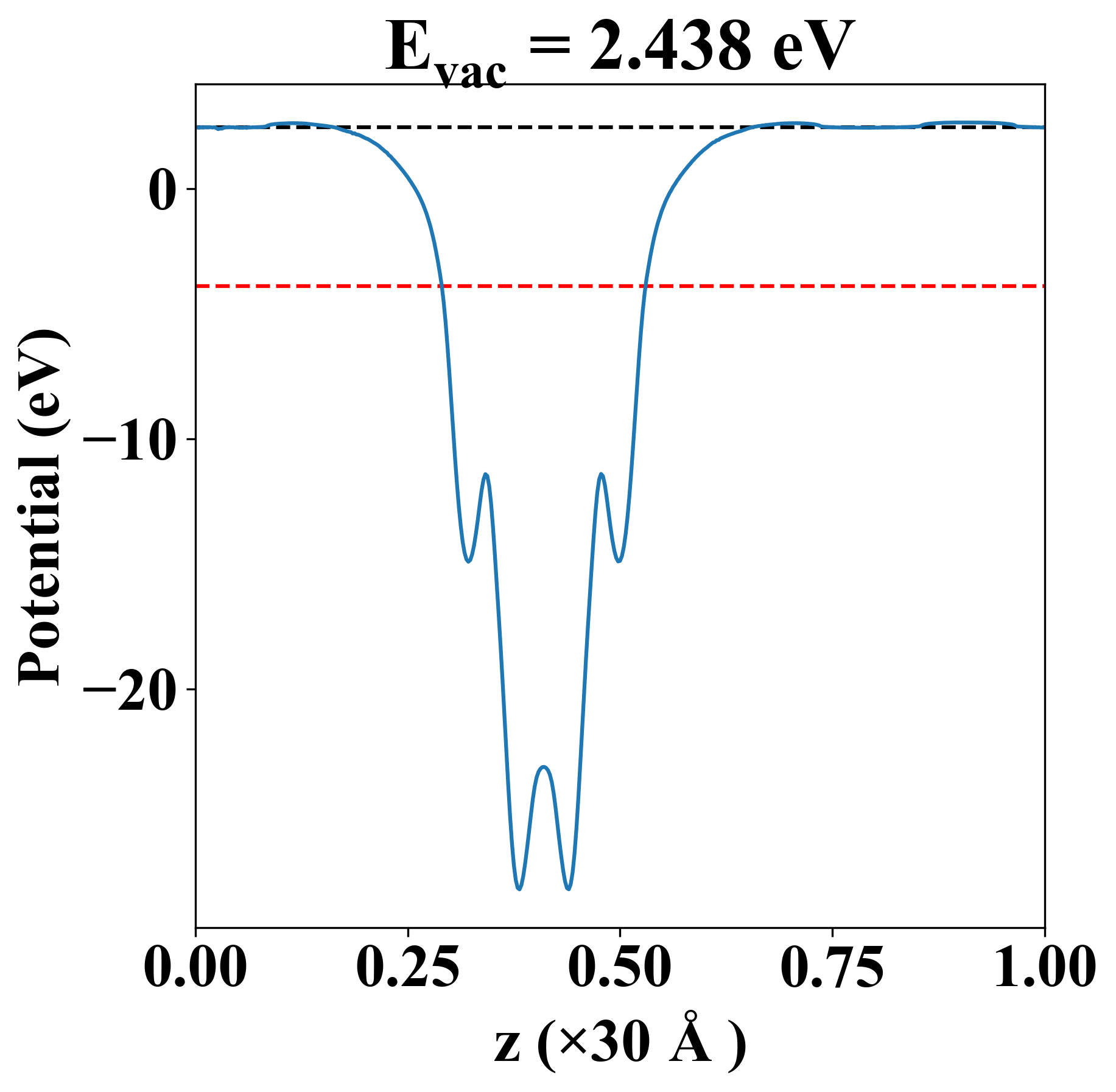
| Vacuum level |
2.438 eV |
| VBM |
-3.986 eV |
| CBM |
-3.854 eV |
| Work function |
6.351 eV |
| Direct gap |
No |
| Property |
Value |
| Band gap |
0.14 eV |
| E-fermi |
-3.899 eV |
| VBM |
-3.976 eV |
| CBM |
-3.834 eV |
| Free energy (eV) |
-23.073 |
| Free energy / atom (eV) |
-3.846 |
| Property |
Value |
| Band gap |
0.13 eV |
| E-fermi |
-3.914 eV |
| Vacuum level |
2.438 eV |
| VBM |
-3.986 eV |
| CBM |
-3.854 eV |
| Work function |
6.351 eV |
| Cij (N/m) |
xx |
yy |
xy |
| xx |
83.186 |
11.895 |
0.000 |
| yy |
11.895 |
115.982 |
0.000 |
| xy |
0.000 |
0.000 |
18.862 |
| Phonon mode at Γ point (THz) |
| Property |
Value |
| from where |
c2db-319 |