Cl2Rh2S2
MatHub2d-1396-Cl2Rh2S2
| Property |
Value |
| Space group |
(59, 'Pmmn') |
| Crystal system |
rectangular |
| Magnetic |
No |
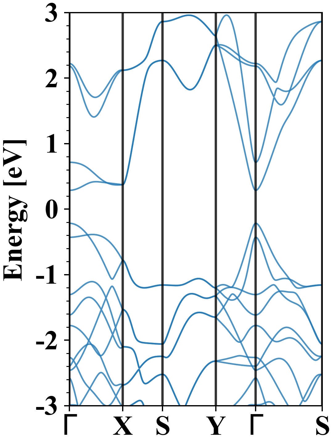
| Band gap (PBE) (eV) |
0.50 |
| Free energy (eV) |
-24.255 |
| Free energy / atom (eV) |
-4.042 |
Lattice Parameters (basic)
| a, b, c (Å): | 3.514 | 4.675 | 30.000 |
| α, β, γ (°): | 90.000 | 90.000 | 90.000 |
Lattice Parameters (computed)
| a, b, c (Å): | 3.498 | 4.667 | 30.000 |
| α, β, γ (°): | 90.000 | 90.000 | 90.000 |
| Property |
Value |
| Band gap |
0.50 eV |
| E-fermi |
-3.741 eV |
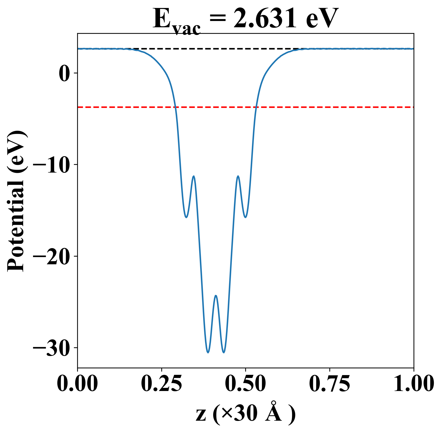
| Vacuum level |
2.631 eV |
| VBM |
-3.957 eV |
| CBM |
-3.455 eV |
| Work function |
6.372 eV |
| Direct gap |
Yes |
| Property |
Value |
| Band gap |
0.53 eV |
| E-fermi |
-3.695 eV |
| VBM |
-3.964 eV |
| CBM |
-3.437 eV |
| Free energy (eV) |
-24.585 |
| Free energy / atom (eV) |
-4.097 |
| Property |
Value |
| Band gap |
0.50 eV |
| E-fermi |
-3.741 eV |
| Vacuum level |
2.631 eV |
| VBM |
-3.957 eV |
| CBM |
-3.455 eV |
| Work function |
6.372 eV |
| Cij (N/m) |
xx |
yy |
xy |
| xx |
92.013 |
11.435 |
0.000 |
| yy |
11.435 |
137.900 |
0.000 |
| xy |
0.000 |
0.000 |
23.276 |
| Phonon mode at Γ point (THz) |
| Property |
Value |
| from where |
c2db-324 |