Cl2Pt2Se2
MatHub2d-1395-Cl2Pt2Se2
| Property |
Value |
| Space group |
(59, 'Pmmn') |
| Crystal system |
rectangular |
| Magnetic |
No |
| Band gap (PBE) (eV) |
0.02 |
| Free energy (eV) |
-21.425 |
| Free energy / atom (eV) |
-3.571 |
Lattice Parameters (basic)
| a, b, c (Å): | 3.577 | 5.507 | 30.000 |
| α, β, γ (°): | 90.000 | 90.000 | 90.000 |
Lattice Parameters (computed)
| a, b, c (Å): | 3.550 | 5.467 | 30.000 |
| α, β, γ (°): | 90.000 | 90.000 | 90.000 |
| Property |
Value |
| Band gap |
0.02 eV |
| E-fermi |
-2.842 eV |
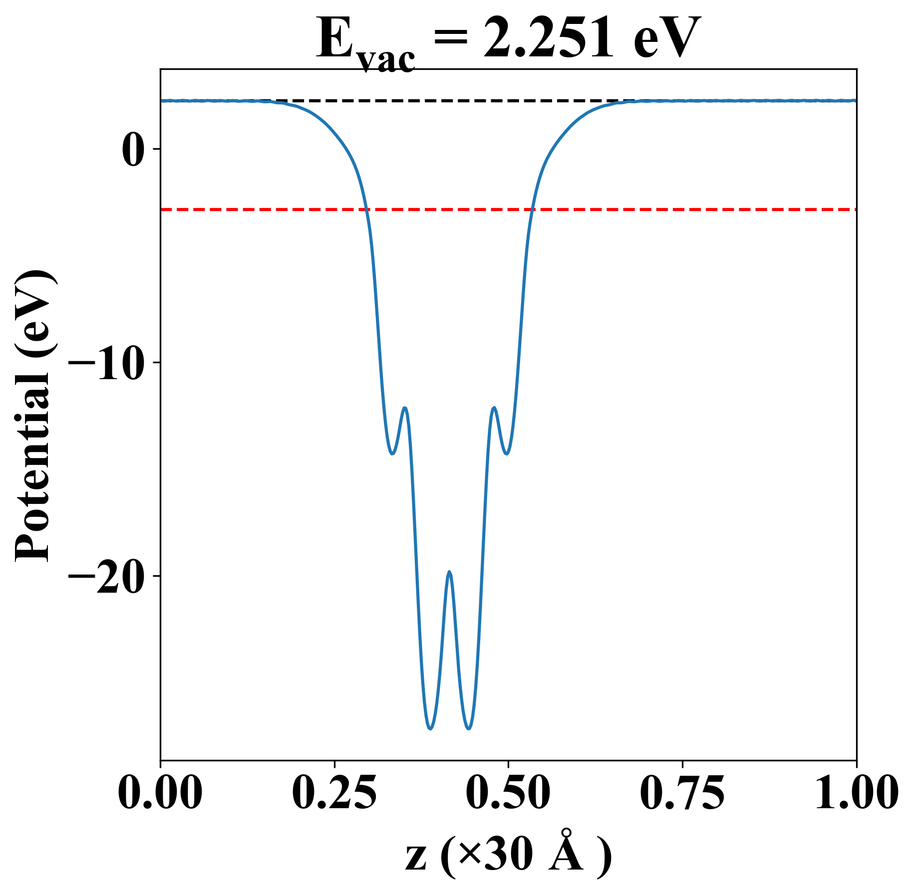
| Vacuum level |
2.251 eV |
| VBM |
-2.855 eV |
| CBM |
-2.840 eV |
| Work function |
5.093 eV |
| Direct gap |
No |
| Property |
Value |
| Band gap |
0.02 eV |
| E-fermi |
-2.842 eV |
| Vacuum level |
2.251 eV |
| VBM |
-2.855 eV |
| CBM |
-2.840 eV |
| Work function |
5.093 eV |
| Cij (N/m) |
xx |
yy |
xy |
| xx |
78.144 |
9.574 |
0.000 |
| yy |
9.574 |
74.787 |
0.000 |
| xy |
0.000 |
0.000 |
11.827 |
| Phonon mode at Γ point (THz) |
| Property |
Value |
| from where |
c2db-308 |