Cl2Pd2Se2
MatHub2d-1393-Cl2Pd2Se2
| Property |
Value |
| Space group |
(59, 'Pmmn') |
| Crystal system |
rectangular |
| Magnetic |
No |
| Band gap (PBE) (eV) |
0.00 |
| Free energy (eV) |
-19.793 |
| Free energy / atom (eV) |
-3.299 |
Lattice Parameters (basic)
| a, b, c (Å): | 3.549 | 5.434 | 30.000 |
| α, β, γ (°): | 90.000 | 90.000 | 90.000 |
Lattice Parameters (computed)
| a, b, c (Å): | 3.508 | 5.391 | 30.000 |
| α, β, γ (°): | 90.000 | 90.000 | 90.000 |
| Property |
Value |
| Band gap |
0.00 eV |
| E-fermi |
-3.456 eV |
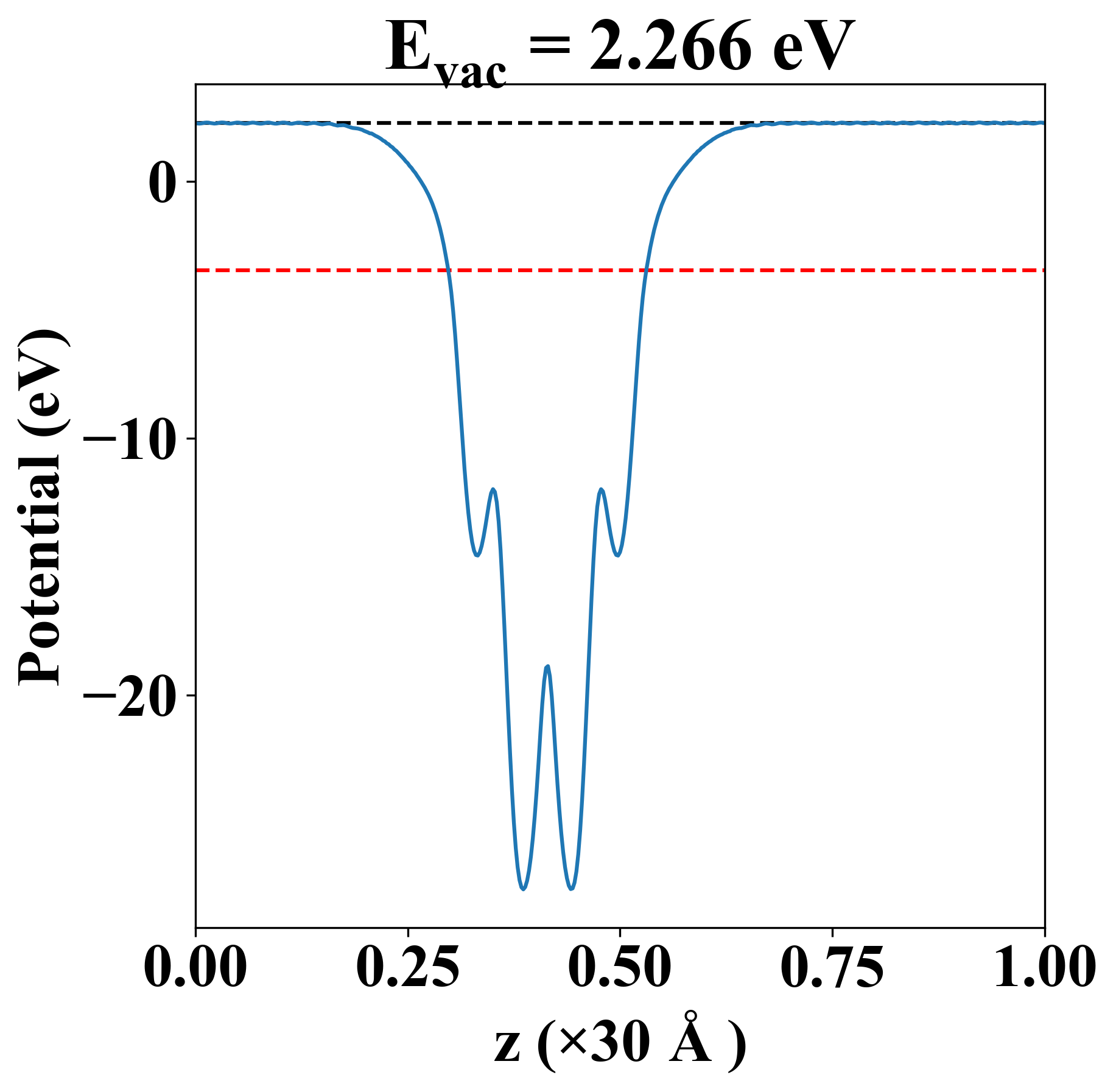
| Vacuum level |
2.266 eV |
| VBM |
-3.465 eV |
| CBM |
-3.454 eV |
| Work function |
5.722 eV |
| Direct gap |
No |
| Property |
Value |
| Band gap |
0.00 eV |
| E-fermi |
-3.456 eV |
| Vacuum level |
2.266 eV |
| VBM |
-3.465 eV |
| CBM |
-3.454 eV |
| Work function |
5.722 eV |
| Cij (N/m) |
xx |
yy |
xy |
| xx |
57.912 |
8.411 |
0.000 |
| yy |
8.411 |
67.976 |
0.000 |
| xy |
0.000 |
0.000 |
9.534 |
| Phonon mode at Γ point (THz) |
| Property |
Value |
| from where |
c2db-296 |