Cl2Pb2Se2
MatHub2d-1391-Cl2Pb2Se2
| Property |
Value |
| Space group |
(59, 'Pmmn') |
| Crystal system |
rectangular |
| Magnetic |
No |
| Band gap (PBE) (eV) |
0.00 |
| Free energy (eV) |
-20.938 |
| Free energy / atom (eV) |
-3.490 |
Lattice Parameters (basic)
| a, b, c (Å): | 4.399 | 4.429 | 30.000 |
| α, β, γ (°): | 90.000 | 90.000 | 90.000 |
Lattice Parameters (computed)
| a, b, c (Å): | 4.403 | 4.423 | 30.000 |
| α, β, γ (°): | 90.000 | 90.000 | 90.000 |
| Property |
Value |
| Band gap |
0.00 eV |
| E-fermi |
-3.009 eV |
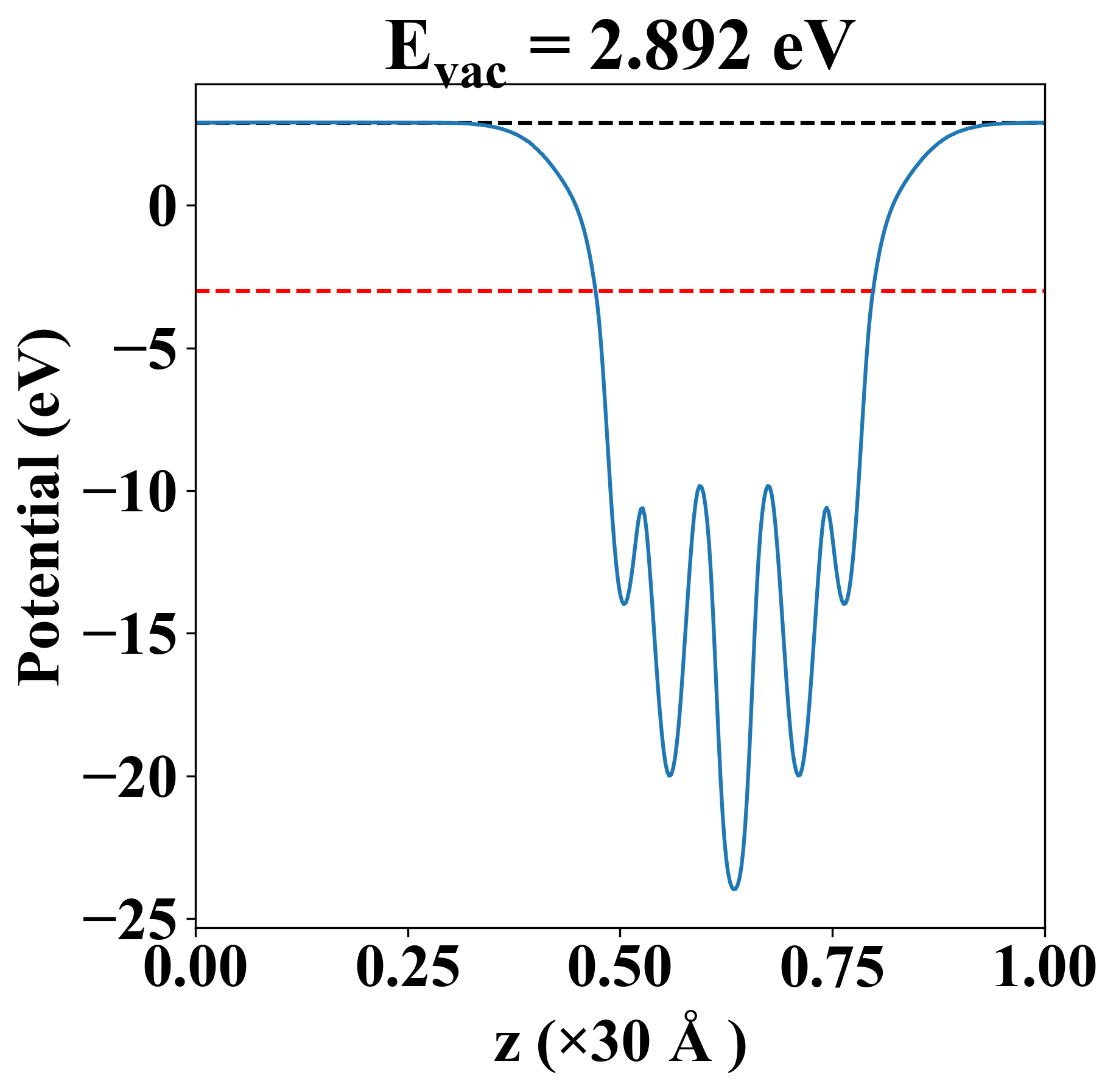
| Vacuum level |
2.892 eV |
| VBM |
-3.010 eV |
| CBM |
-3.007 eV |
| Work function |
5.901 eV |
| Direct gap |
No |
| Property |
Value |
| Band gap |
0.00 eV |
| E-fermi |
-3.009 eV |
| Vacuum level |
2.892 eV |
| VBM |
-3.010 eV |
| CBM |
-3.007 eV |
| Work function |
5.901 eV |
| Cij (N/m) |
xx |
yy |
xy |
| xx |
24.494 |
14.704 |
0.000 |
| yy |
14.704 |
32.073 |
0.000 |
| xy |
0.000 |
0.000 |
-10.966 |
| Phonon mode at Γ point (THz) |
| Property |
Value |
| from where |
c2db-284 |