Cl2Pb2S2
MatHub2d-1390-Cl2Pb2S2
| Property |
Value |
| Space group |
(59, 'Pmmn') |
| Crystal system |
rectangular |
| Magnetic |
No |
| Band gap (PBE) (eV) |
0.00 |
| Free energy (eV) |
-21.646 |
| Free energy / atom (eV) |
-3.608 |
Lattice Parameters (basic)
| a, b, c (Å): | 4.065 | 5.450 | 30.000 |
| α, β, γ (°): | 90.000 | 90.000 | 90.000 |
Lattice Parameters (computed)
| a, b, c (Å): | 4.133 | 5.428 | 30.000 |
| α, β, γ (°): | 90.000 | 90.000 | 90.000 |
| Property |
Value |
| Band gap |
0.00 eV |
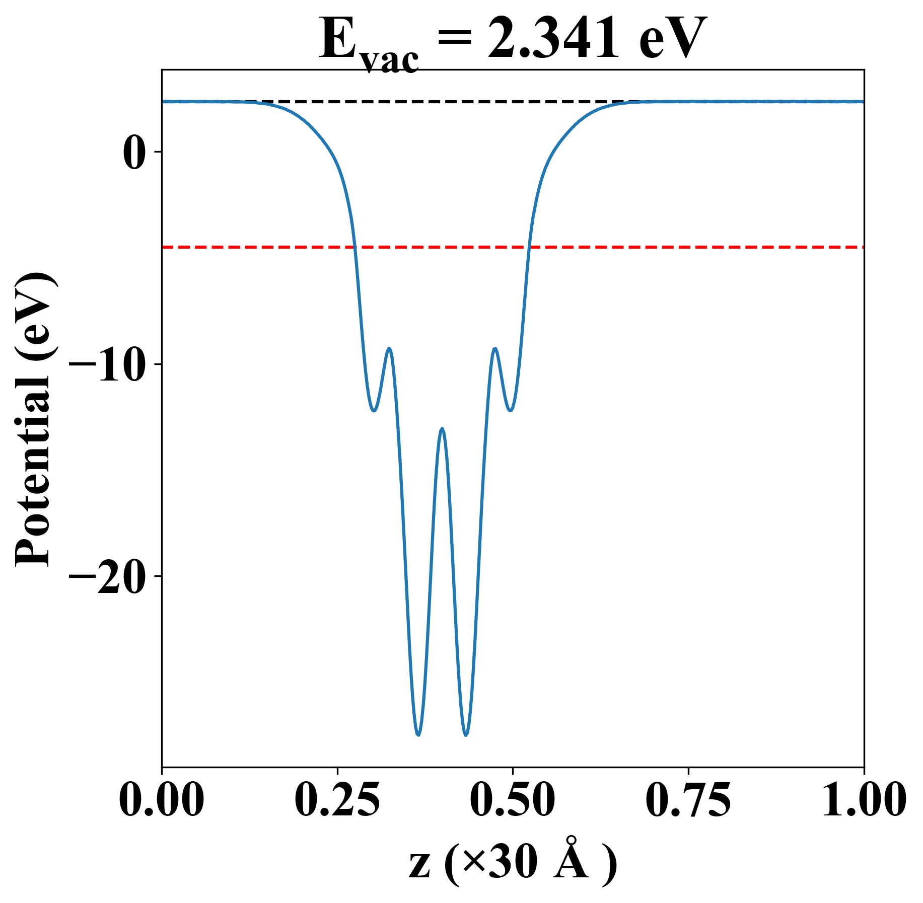
| E-fermi |
-4.515 eV |
| Vacuum level |
2.341 eV |
| VBM |
-4.516 eV |
| CBM |
-4.514 eV |
| Work function |
6.857 eV |
| Direct gap |
No |
| Property |
Value |
| Band gap |
0.00 eV |
| E-fermi |
-4.515 eV |
| Vacuum level |
2.341 eV |
| VBM |
-4.516 eV |
| CBM |
-4.514 eV |
| Work function |
6.857 eV |
| Cij (N/m) |
xx |
yy |
xy |
| xx |
26.937 |
7.536 |
0.000 |
| yy |
7.536 |
49.521 |
0.000 |
| xy |
0.000 |
0.000 |
10.069 |
| Phonon mode at Γ point (THz) |
| -0.164 |
| -0.007 |
| -0.002 |
| -0.001 |
| 1.289 |
| 1.575 |
| 2.021 |
| 2.058 |
| 2.528 |
| 3.491 |
| 3.978 |
| 4.557 |
| 5.062 |
| 5.345 |
| 6.116 |
| 6.132 |
| 6.197 |
| 7.668 |
| Property |
Value |
| from where |
c2db-283 |