Cl2Os2Se2
MatHub2d-1389-Cl2Os2Se2
| Property |
Value |
| Space group |
(59, 'Pmmn') |
| Crystal system |
rectangular |
| Magnetic |
No |
| Band gap (PBE) (eV) |
0.00 |
| Free energy (eV) |
-27.702 |
| Free energy / atom (eV) |
-4.617 |
Lattice Parameters (basic)
| a, b, c (Å): | 3.730 | 4.686 | 30.000 |
| α, β, γ (°): | 90.000 | 90.000 | 90.000 |
Lattice Parameters (computed)
| a, b, c (Å): | 3.787 | 4.621 | 30.000 |
| α, β, γ (°): | 90.000 | 90.000 | 90.000 |
| Property |
Value |
| Band gap |
0.00 eV |
| E-fermi |
-3.720 eV |
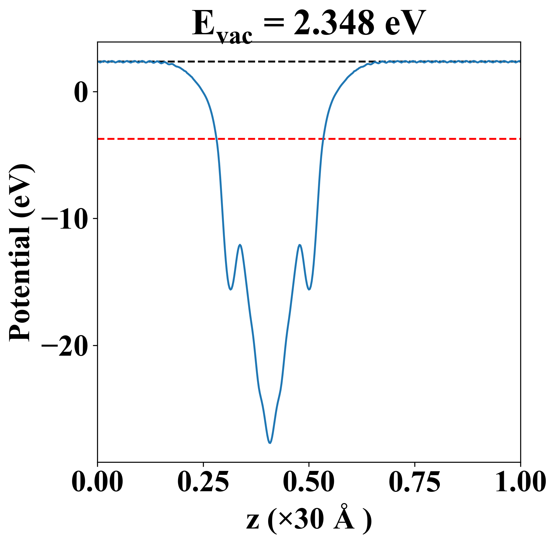
| Vacuum level |
2.348 eV |
| VBM |
-3.725 eV |
| CBM |
-3.717 eV |
| Work function |
6.069 eV |
| Direct gap |
No |
| Property |
Value |
| Band gap |
0.00 eV |
| E-fermi |
-3.720 eV |
| Vacuum level |
2.348 eV |
| VBM |
-3.725 eV |
| CBM |
-3.717 eV |
| Work function |
6.069 eV |
| Cij (N/m) |
xx |
yy |
xy |
| xx |
99.166 |
39.245 |
0.000 |
| yy |
39.245 |
97.044 |
0.000 |
| xy |
0.000 |
0.000 |
29.550 |
| Phonon mode at Γ point (THz) |
| Property |
Value |
| from where |
c2db-273 |