Cl2O2Zr2
MatHub2d-1387-Cl2O2Zr2
| Property |
Value |
| Space group |
(59, 'Pmmn') |
| Crystal system |
rectangular |
| Magnetic |
No |
| Band gap (PBE) (eV) |
0.00 |
| Free energy (eV) |
-45.122 |
| Free energy / atom (eV) |
-7.520 |
Lattice Parameters (basic)
| a, b, c (Å): | 3.474 | 4.311 | 30.000 |
| α, β, γ (°): | 90.000 | 90.000 | 90.000 |
Lattice Parameters (computed)
| a, b, c (Å): | 3.481 | 4.308 | 30.000 |
| α, β, γ (°): | 90.000 | 90.000 | 90.000 |
| Property |
Value |
| Band gap |
0.00 eV |
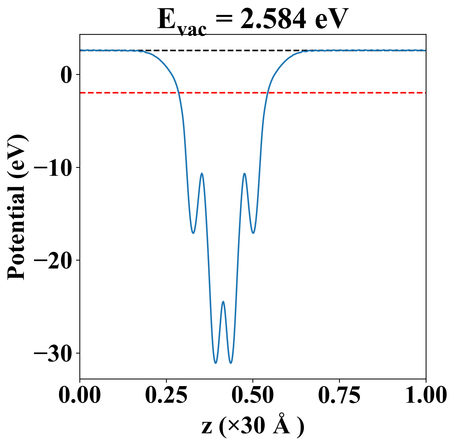
| E-fermi |
-1.980 eV |
| Vacuum level |
2.584 eV |
| VBM |
-1.981 eV |
| CBM |
-1.979 eV |
| Work function |
4.565 eV |
| Direct gap |
No |
| Property |
Value |
| Band gap |
0.00 eV |
| E-fermi |
-1.980 eV |
| Vacuum level |
2.584 eV |
| VBM |
-1.981 eV |
| CBM |
-1.979 eV |
| Work function |
4.565 eV |
| Cij (N/m) |
xx |
yy |
xy |
| xx |
68.139 |
-19.131 |
0.000 |
| yy |
-19.131 |
154.173 |
0.000 |
| xy |
0.000 |
0.000 |
23.397 |
| Phonon mode at Γ point (THz) |
| Property |
Value |
| from where |
c2db-438 |