Cl2O2W2
MatHub2d-1386-Cl2O2W2
| Property |
Value |
| Space group |
(59, 'Pmmn') |
| Crystal system |
rectangular |
| Magnetic |
No |
| Band gap (PBE) (eV) |
0.01 |
| Free energy (eV) |
-40.498 |
| Free energy / atom (eV) |
-6.750 |
Lattice Parameters (basic)
| a, b, c (Å): | 2.970 | 4.091 | 30.000 |
| α, β, γ (°): | 90.000 | 90.000 | 90.000 |
Lattice Parameters (computed)
| a, b, c (Å): | 2.965 | 4.119 | 30.000 |
| α, β, γ (°): | 90.000 | 90.000 | 90.000 |
| Property |
Value |
| Band gap |
0.01 eV |
| E-fermi |
-2.120 eV |
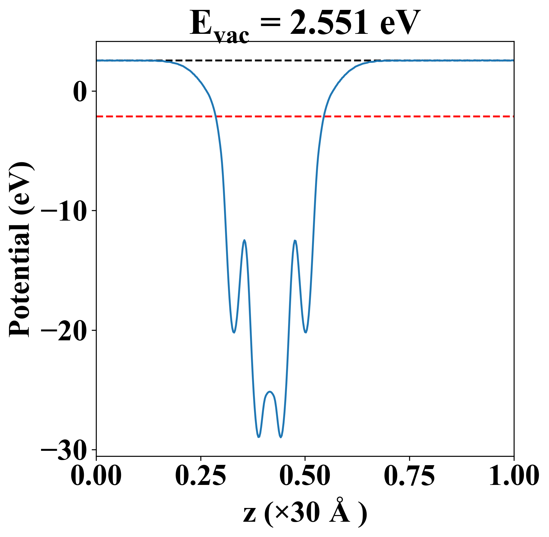
| Vacuum level |
2.551 eV |
| VBM |
-2.126 eV |
| CBM |
-2.119 eV |
| Work function |
4.671 eV |
| Direct gap |
No |
| Property |
Value |
| Band gap |
0.01 eV |
| E-fermi |
-2.120 eV |
| Vacuum level |
2.551 eV |
| VBM |
-2.126 eV |
| CBM |
-2.119 eV |
| Work function |
4.671 eV |
| Property |
Value |
| from where |
c2db-426 |