Cl2O2V2
MatHub2d-1385-Cl2O2V2
| Property |
Value |
| Space group |
(59, 'Pmmn') |
| Crystal system |
rectangular |
| Magnetic |
Yes |
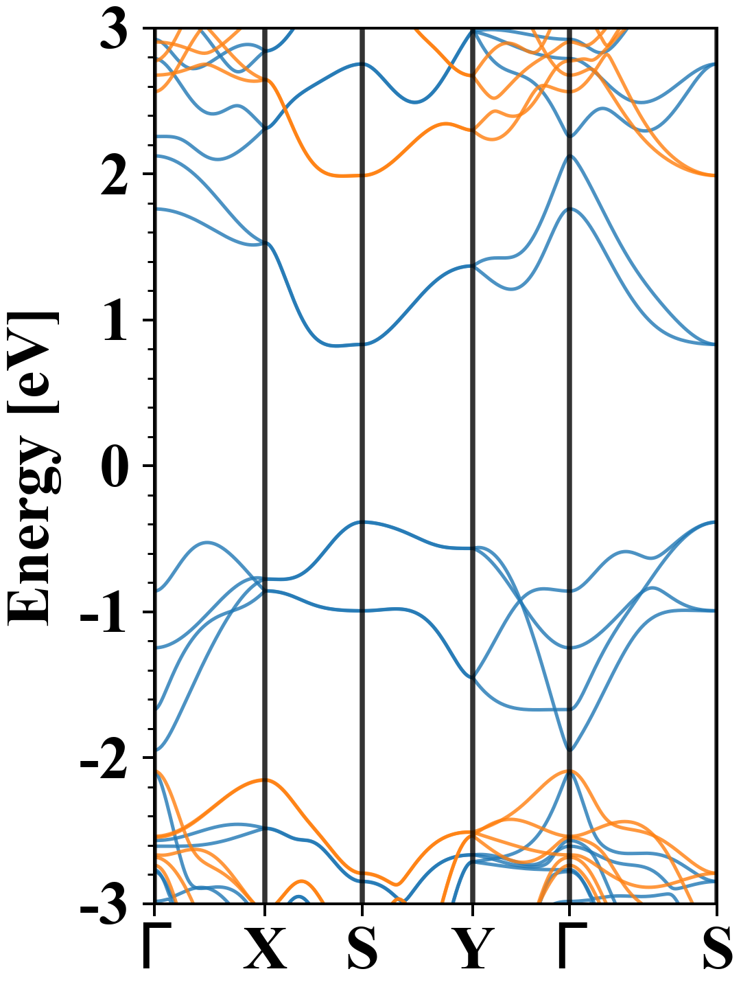
| Band gap (PBE) (eV) |
1.20 |
| Free energy (eV) |
-39.112 |
| Free energy / atom (eV) |
-6.519 |
Lattice Parameters (basic)
| a, b, c (Å): | 3.335 | 3.881 | 30.000 |
| α, β, γ (°): | 90.000 | 90.000 | 90.000 |
Lattice Parameters (computed)
| a, b, c (Å): | 3.364 | 3.842 | 30.000 |
| α, β, γ (°): | 90.000 | 90.000 | 90.000 |
| Property |
Value |
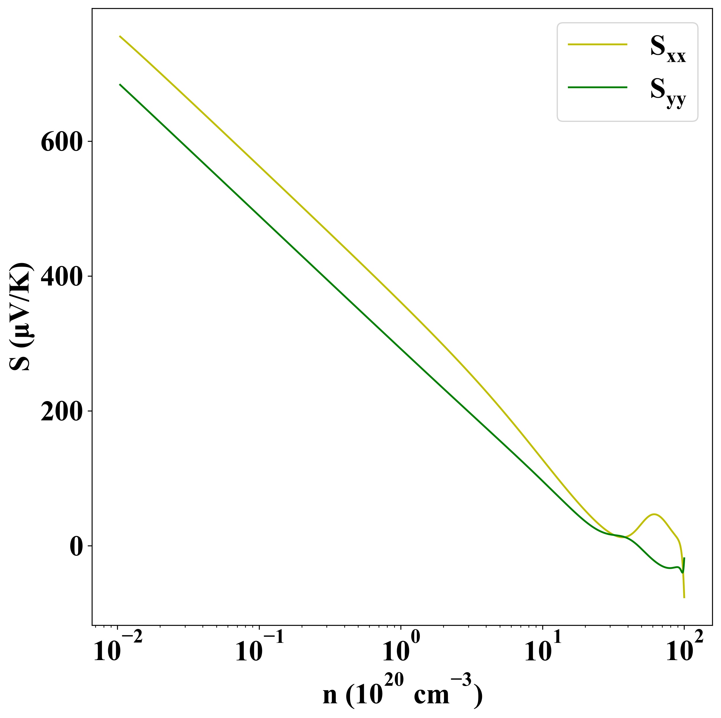
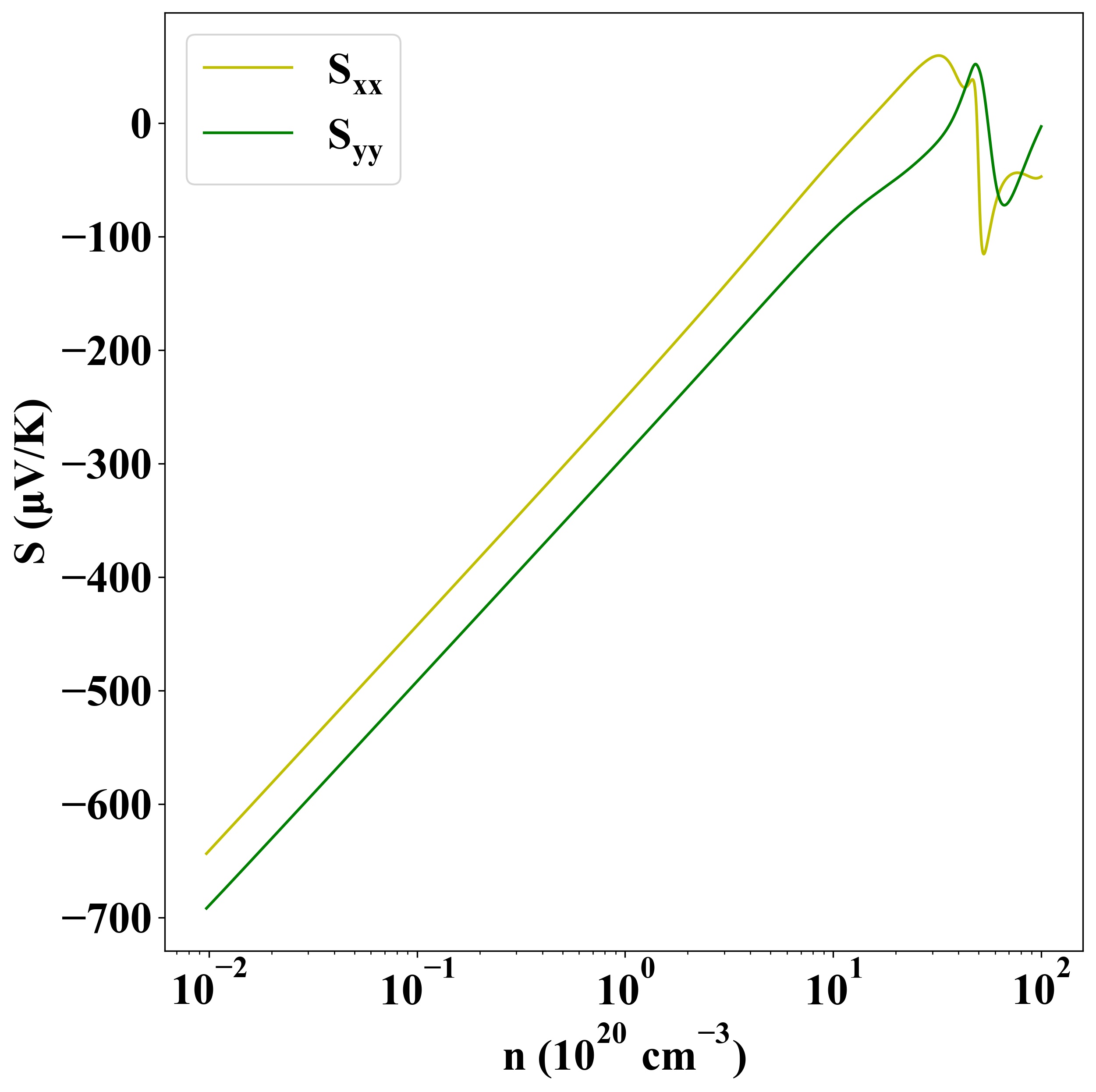
| Band gap |
1.20 eV |
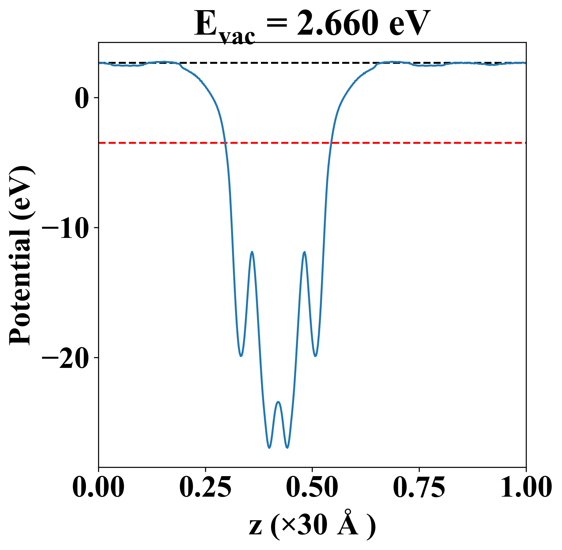
| E-fermi |
-3.486 eV |
| Vacuum level |
2.660 eV |
| VBM |
-3.870 eV |
| CBM |
-2.665 eV |
| Work function |
6.146 eV |
| Direct gap |
No |
| Property |
Value |
| Band gap |
1.20 eV |
| E-fermi |
-3.484 eV |
| VBM |
-3.878 eV |
| CBM |
-2.675 eV |
| Free energy (eV) |
-39.133 |
| Free energy / atom (eV) |
-6.522 |
| Property |
Value |
| Band gap |
1.20 eV |
| E-fermi |
-3.486 eV |
| Vacuum level |
2.660 eV |
| VBM |
-3.870 eV |
| CBM |
-2.665 eV |
| Work function |
6.146 eV |
| Property |
Value |
| from where |
c2db-408 |