Cl2O2Tl2
MatHub2d-1384-Cl2O2Tl2
| Property |
Value |
| Space group |
(59, 'Pmmn') |
| Crystal system |
rectangular |
| Magnetic |
No |
| Band gap (PBE) (eV) |
0.97 |
| Free energy (eV) |
-22.071 |
| Free energy / atom (eV) |
-3.679 |
Lattice Parameters (basic)
| a, b, c (Å): | 3.714 | 4.295 | 30.000 |
| α, β, γ (°): | 90.000 | 90.000 | 90.000 |
Lattice Parameters (computed)
| a, b, c (Å): | 3.720 | 4.323 | 30.000 |
| α, β, γ (°): | 90.000 | 90.000 | 90.000 |
| Property |
Value |
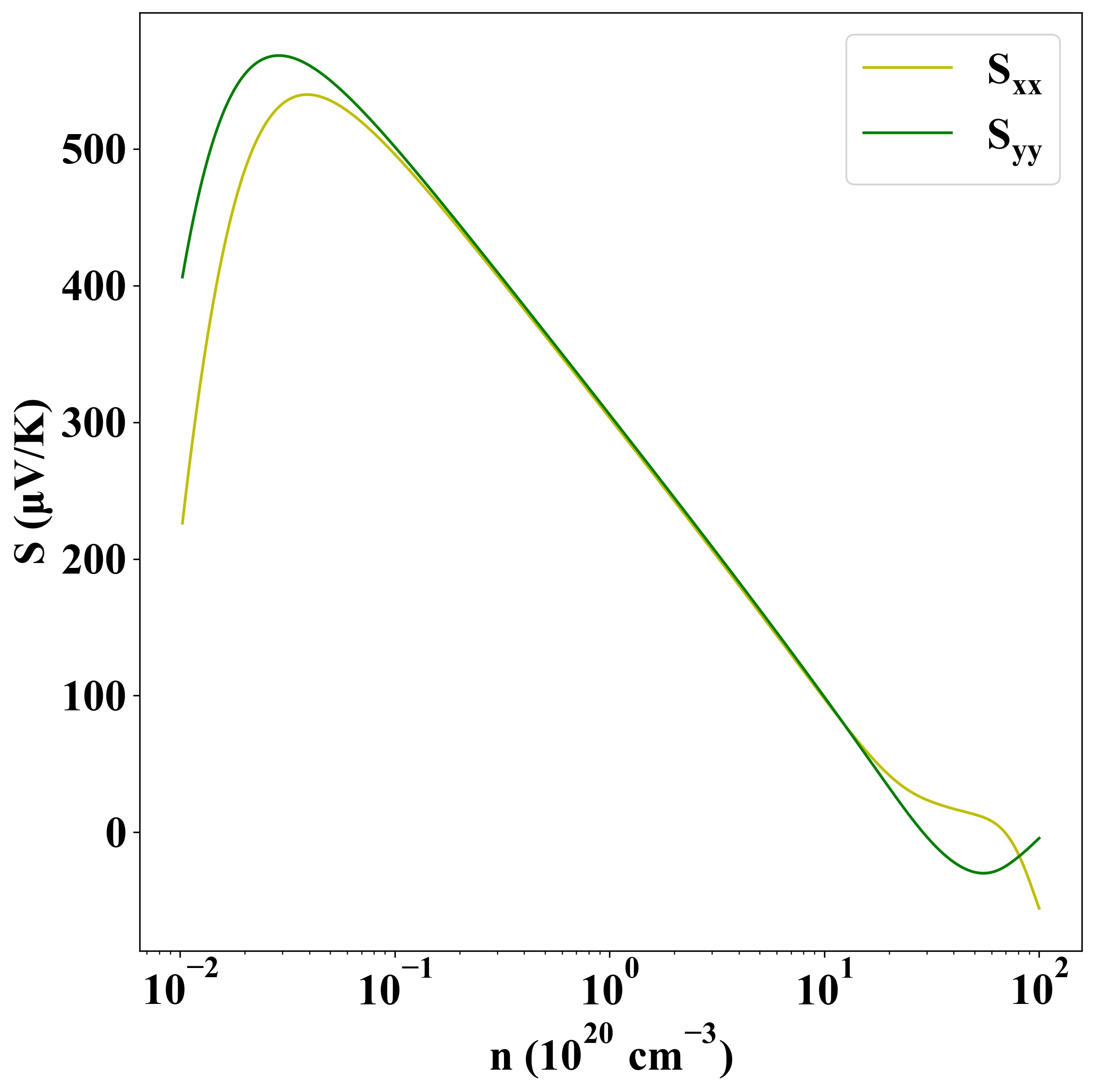
| Band gap |
0.97 eV |
| E-fermi |
-4.829 eV |
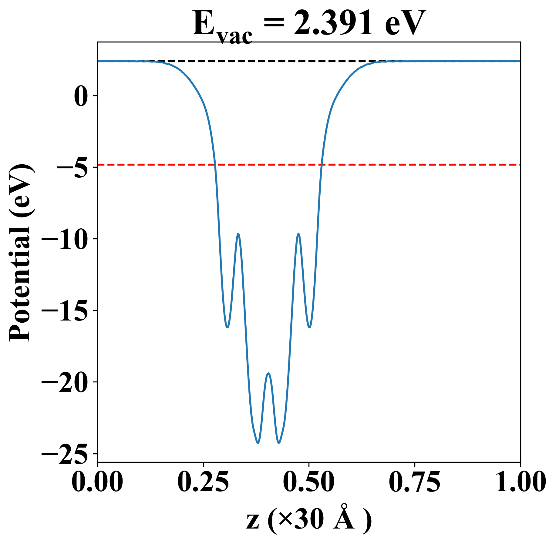
| Vacuum level |
2.391 eV |
| VBM |
-5.054 eV |
| CBM |
-4.085 eV |
| Work function |
7.220 eV |
| Direct gap |
No |
| Property |
Value |
| Band gap |
0.98 eV |
| E-fermi |
-4.773 eV |
| VBM |
-5.064 eV |
| CBM |
-4.086 eV |
| Free energy (eV) |
-22.536 |
| Free energy / atom (eV) |
-3.756 |
| Property |
Value |
| Band gap |
0.97 eV |
| E-fermi |
-4.829 eV |
| Vacuum level |
2.391 eV |
| VBM |
-5.054 eV |
| CBM |
-4.085 eV |
| Work function |
7.220 eV |
| Cij (N/m) |
xx |
yy |
xy |
| xx |
73.179 |
26.458 |
0.000 |
| yy |
26.458 |
47.269 |
0.000 |
| xy |
0.000 |
0.000 |
24.558 |
| Phonon mode at Γ point (THz) |
| Property |
Value |
| from where |
c2db-393 |