Cl2O2Ti2
MatHub2d-1383-Cl2O2Ti2
| Property |
Value |
| Space group |
(59, 'Pmmn') |
| Crystal system |
rectangular |
| Magnetic |
Yes |
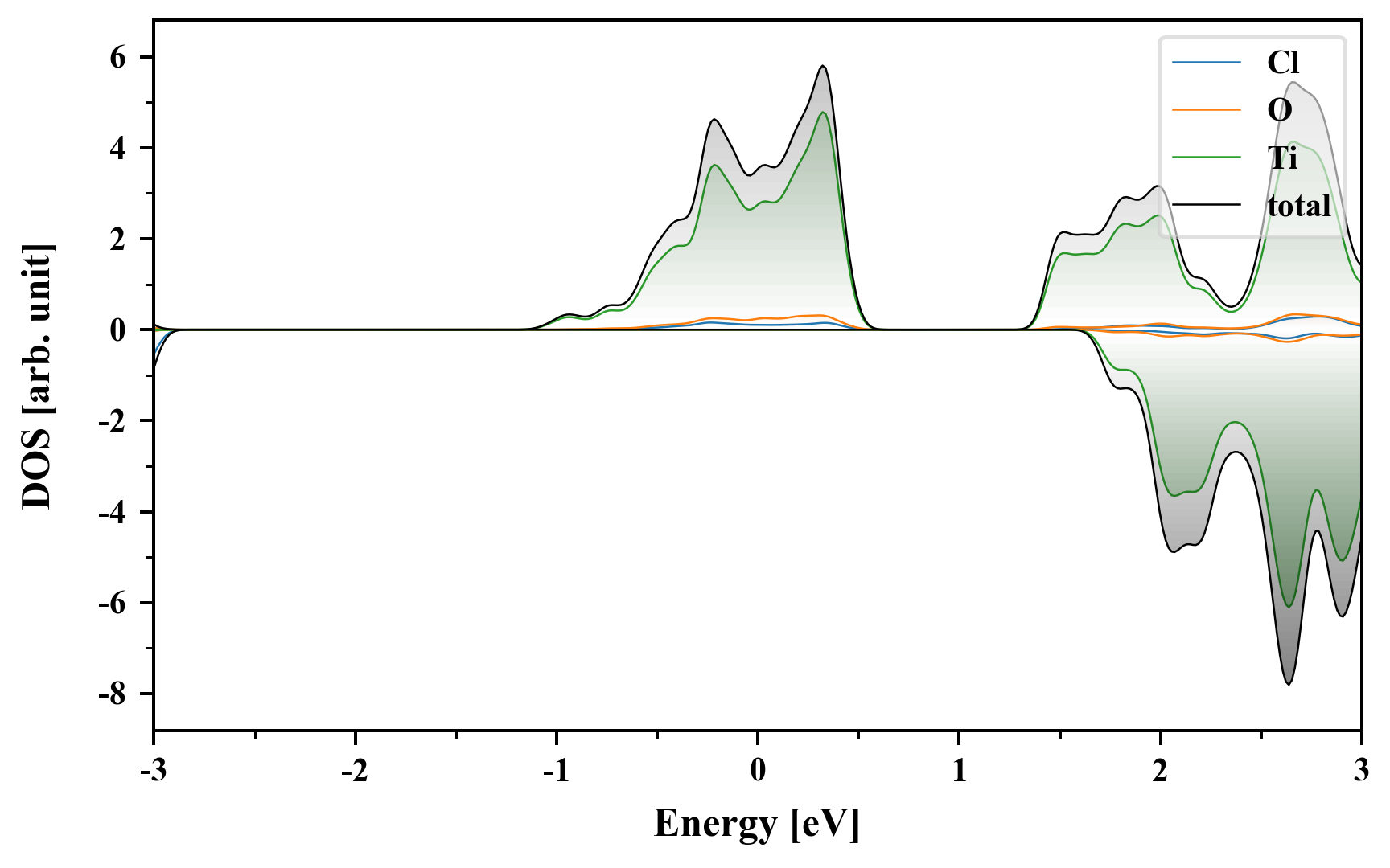
| Band gap (PBE) (eV) |
0.00 |
| Free energy (eV) |
-37.385 |
| Free energy / atom (eV) |
-6.231 |
Lattice Parameters (basic)
| a, b, c (Å): | 3.263 | 4.021 | 30.000 |
| α, β, γ (°): | 90.000 | 90.000 | 90.000 |
Lattice Parameters (computed)
| a, b, c (Å): | 3.505 | 3.887 | 30.000 |
| α, β, γ (°): | 90.000 | 90.000 | 90.000 |
| Property |
Value |
| Band gap |
0.00 eV |
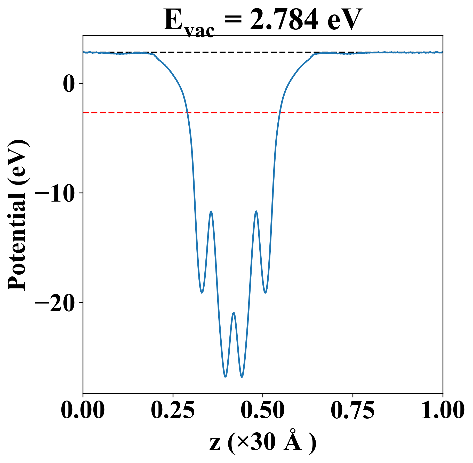
| E-fermi |
-2.695 eV |
| Vacuum level |
2.784 eV |
| VBM |
-2.696 eV |
| CBM |
-2.694 eV |
| Work function |
5.479 eV |
| Direct gap |
No |
| Property |
Value |
| Band gap |
0.00 eV |
| E-fermi |
-2.695 eV |
| Vacuum level |
2.784 eV |
| VBM |
-2.696 eV |
| CBM |
-2.694 eV |
| Work function |
5.479 eV |
| Cij (N/m) |
xx |
yy |
xy |
| xx |
55.476 |
14.657 |
0.000 |
| yy |
14.657 |
59.770 |
0.000 |
| xy |
0.000 |
0.000 |
30.574 |
| Phonon mode at Γ point (THz) |
| Property |
Value |
| from where |
c2db-381 |