Cl2O2Ta2
MatHub2d-1382-Cl2O2Ta2
| Property |
Value |
| Space group |
(59, 'Pmmn') |
| Crystal system |
rectangular |
| Magnetic |
|
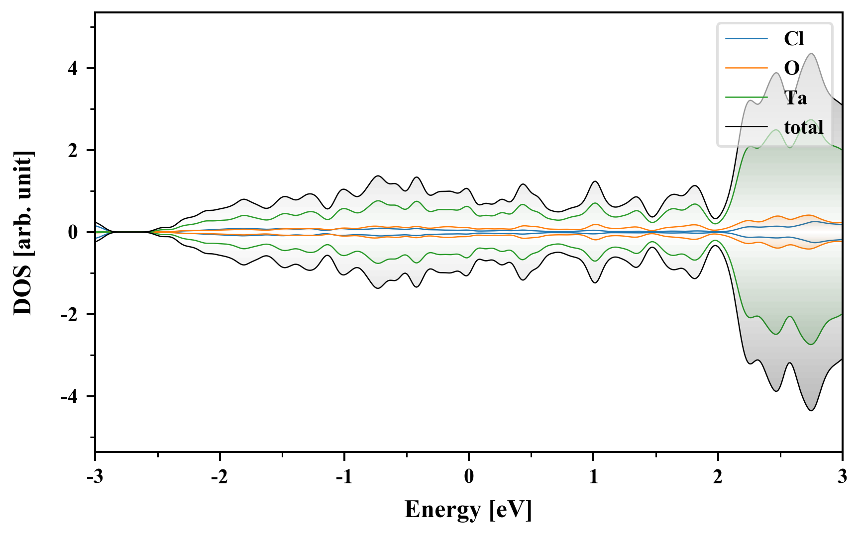
| Band gap (PBE) (eV) |
0.00 |
| Free energy (eV) |
-43.836 |
| Free energy / atom (eV) |
-7.306 |
Lattice Parameters (basic)
| a, b, c (Å): | 3.077 | 4.134 | 30.000 |
| α, β, γ (°): | 90.000 | 90.000 | 90.000 |
Lattice Parameters (computed)
| a, b, c (Å): | 3.065 | 4.148 | 30.000 |
| α, β, γ (°): | 90.000 | 90.000 | 90.000 |
| Property |
Value |
| Band gap |
0.00 eV |
| E-fermi |
-2.201 eV |
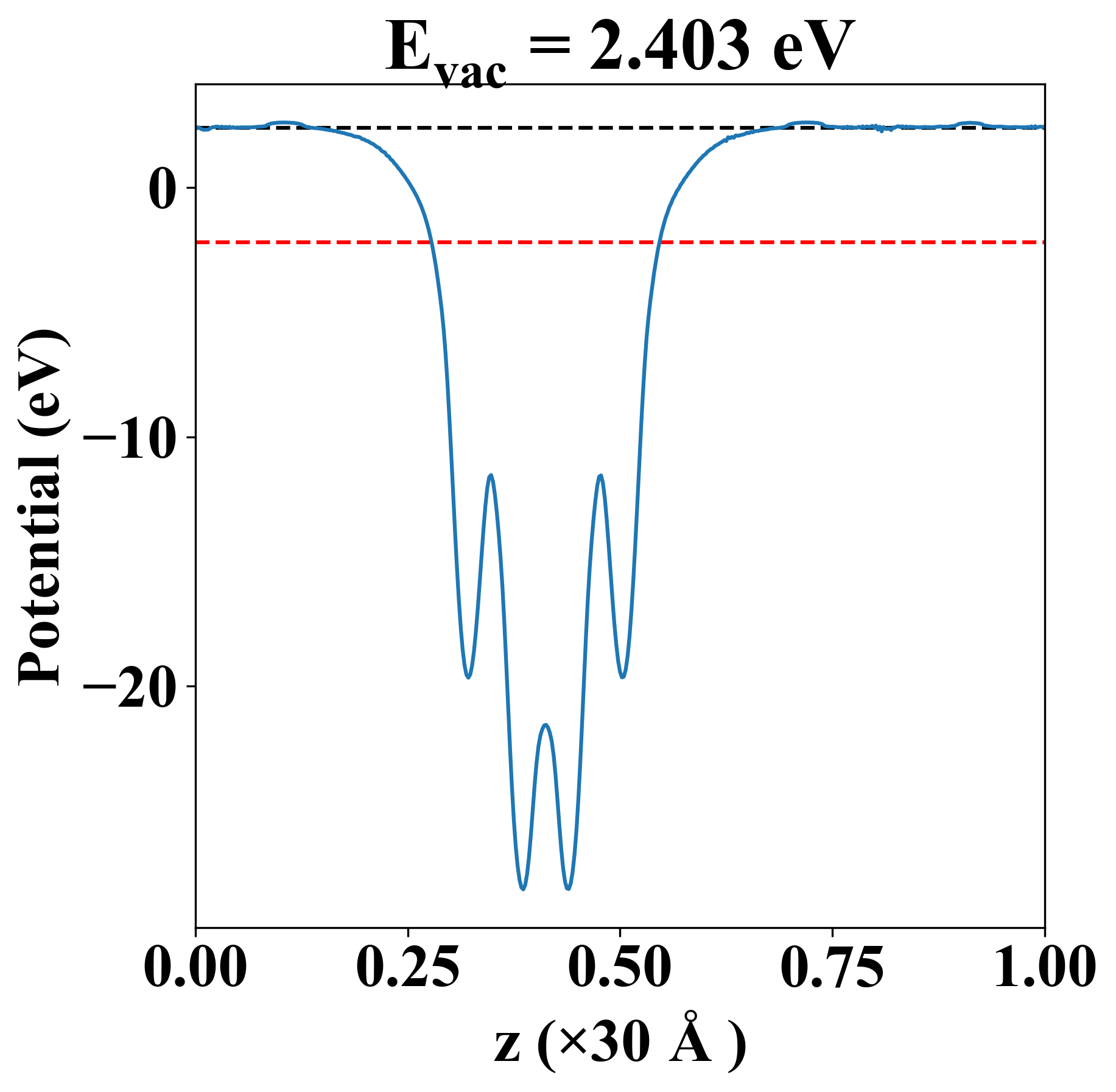
| Vacuum level |
2.403 eV |
| VBM |
-2.202 eV |
| CBM |
-2.200 eV |
| Work function |
4.604 eV |
| Direct gap |
No |
| Property |
Value |
| Band gap |
0.00 eV |
| E-fermi |
-2.201 eV |
| Vacuum level |
2.403 eV |
| VBM |
-2.202 eV |
| CBM |
-2.200 eV |
| Work function |
4.604 eV |
| Cij (N/m) |
xx |
yy |
xy |
| xx |
92.493 |
-3.537 |
0.000 |
| yy |
-3.537 |
314.319 |
0.000 |
| xy |
0.000 |
0.000 |
28.902 |
| Phonon mode at Γ point (THz) |
| Property |
Value |
| from where |
c2db-368 |