Cl2O2Sn2
MatHub2d-1381-Cl2O2Sn2
| Property |
Value |
| Space group |
(59, 'Pmmn') |
| Crystal system |
rectangular |
| Magnetic |
No |
| Band gap (PBE) (eV) |
0.00 |
| Free energy (eV) |
-28.071 |
| Free energy / atom (eV) |
-4.679 |
Lattice Parameters (basic)
| a, b, c (Å): | 3.782 | 4.237 | 30.000 |
| α, β, γ (°): | 90.000 | 90.000 | 90.000 |
Lattice Parameters (computed)
| a, b, c (Å): | 3.731 | 4.196 | 30.000 |
| α, β, γ (°): | 90.000 | 90.000 | 90.000 |
| Property |
Value |
| Band gap |
0.00 eV |
| E-fermi |
-2.655 eV |
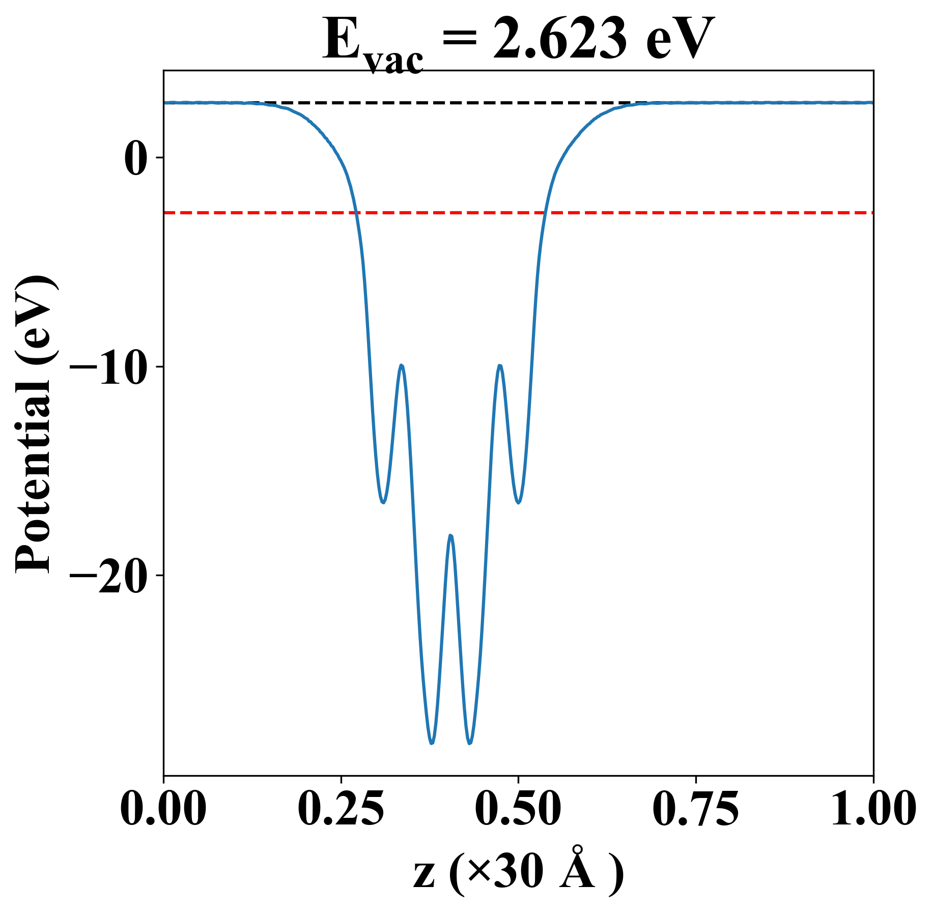
| Vacuum level |
2.623 eV |
| VBM |
-2.655 eV |
| CBM |
-2.655 eV |
| Work function |
5.277 eV |
| Direct gap |
No |
| Property |
Value |
| Band gap |
0.00 eV |
| E-fermi |
-2.655 eV |
| Vacuum level |
2.623 eV |
| VBM |
-2.655 eV |
| CBM |
-2.655 eV |
| Work function |
5.277 eV |
| Cij (N/m) |
xx |
yy |
xy |
| xx |
43.214 |
11.086 |
0.000 |
| yy |
11.086 |
79.061 |
0.000 |
| xy |
0.000 |
0.000 |
18.946 |
| Phonon mode at Γ point (THz) |
| -0.057 |
| -0.008 |
| -0.008 |
| 1.430 |
| 1.659 |
| 2.178 |
| 2.454 |
| 3.396 |
| 3.635 |
| 3.962 |
| 4.002 |
| 5.429 |
| 5.902 |
| 7.987 |
| 8.264 |
| 8.268 |
| 11.157 |
| 13.112 |
| Property |
Value |
| from where |
c2db-357 |