Cl2O2Sc2
MatHub2d-1380-Cl2O2Sc2
| Property |
Value |
| Space group |
(59, 'Pmmn') |
| Crystal system |
rectangular |
| Magnetic |
No |
| Band gap (PBE) (eV) |
4.79 |
| Free energy (eV) |
-41.499 |
| Free energy / atom (eV) |
-6.916 |
Lattice Parameters (basic)
| a, b, c (Å): | 3.477 | 3.980 | 30.000 |
| α, β, γ (°): | 90.000 | 90.000 | 90.000 |
Lattice Parameters (computed)
| a, b, c (Å): | 3.529 | 4.057 | 30.000 |
| α, β, γ (°): | 90.000 | 90.000 | 90.000 |
| Property |
Value |
| Band gap |
4.79 eV |
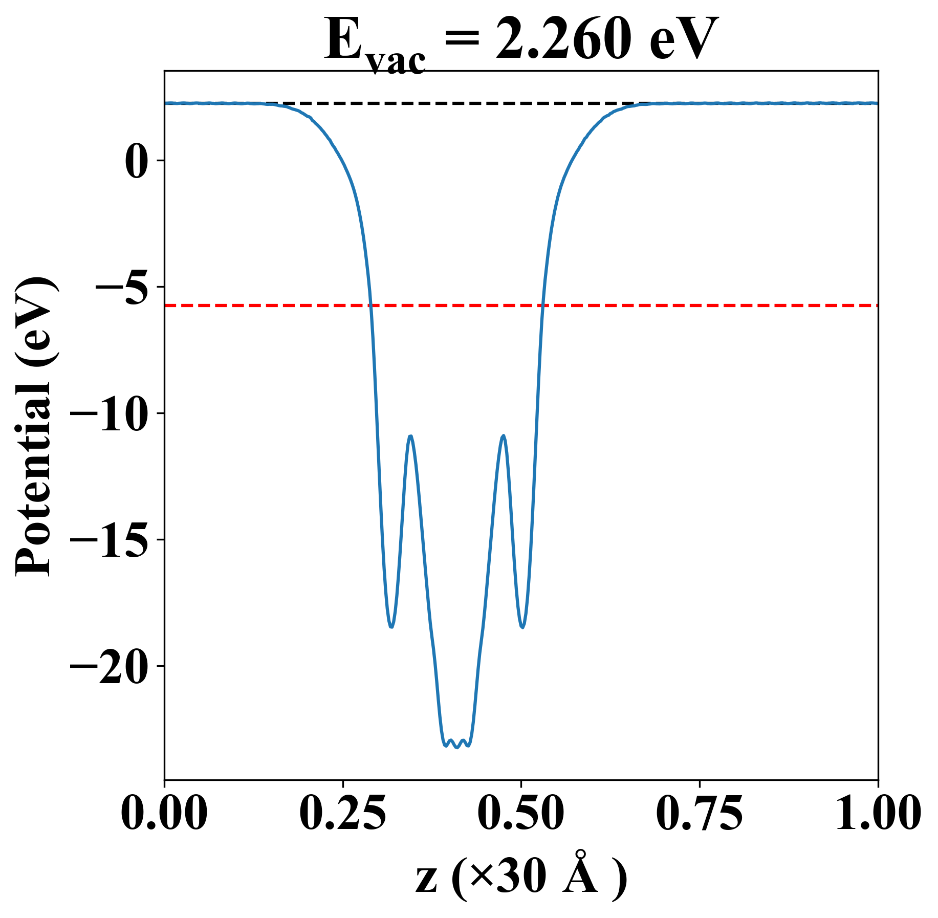
| E-fermi |
-5.751 eV |
| Vacuum level |
2.260 eV |
| VBM |
-6.025 eV |
| CBM |
-1.232 eV |
| Work function |
8.011 eV |
| Direct gap |
Yes |
| Property |
Value |
| Band gap |
4.79 eV |
| E-fermi |
-5.807 eV |
| VBM |
-6.027 eV |
| CBM |
-1.237 eV |
| Free energy (eV) |
-41.508 |
| Free energy / atom (eV) |
-6.918 |
| Property |
Value |
| Band gap |
4.79 eV |
| E-fermi |
-5.751 eV |
| Vacuum level |
2.260 eV |
| VBM |
-6.025 eV |
| CBM |
-1.232 eV |
| Work function |
8.011 eV |
| Cij (N/m) |
xx |
yy |
xy |
| xx |
107.916 |
31.514 |
0.000 |
| yy |
31.514 |
93.083 |
0.000 |
| xy |
0.000 |
0.000 |
45.632 |
| Phonon mode at Γ point (THz) |
| Property |
Value |
| from where |
c2db-345 |