Cl2O2Rh2
MatHub2d-1378-Cl2O2Rh2
| Property |
Value |
| Space group |
(59, 'Pmmn') |
| Crystal system |
rectangular |
| Magnetic |
No |
| Band gap (PBE) (eV) |
1.01 |
| Free energy (eV) |
-26.867 |
| Free energy / atom (eV) |
-4.478 |
Lattice Parameters (basic)
| a, b, c (Å): | 3.305 | 4.053 | 30.000 |
| α, β, γ (°): | 90.000 | 90.000 | 90.000 |
Lattice Parameters (computed)
| a, b, c (Å): | 3.270 | 4.046 | 30.000 |
| α, β, γ (°): | 90.000 | 90.000 | 90.000 |
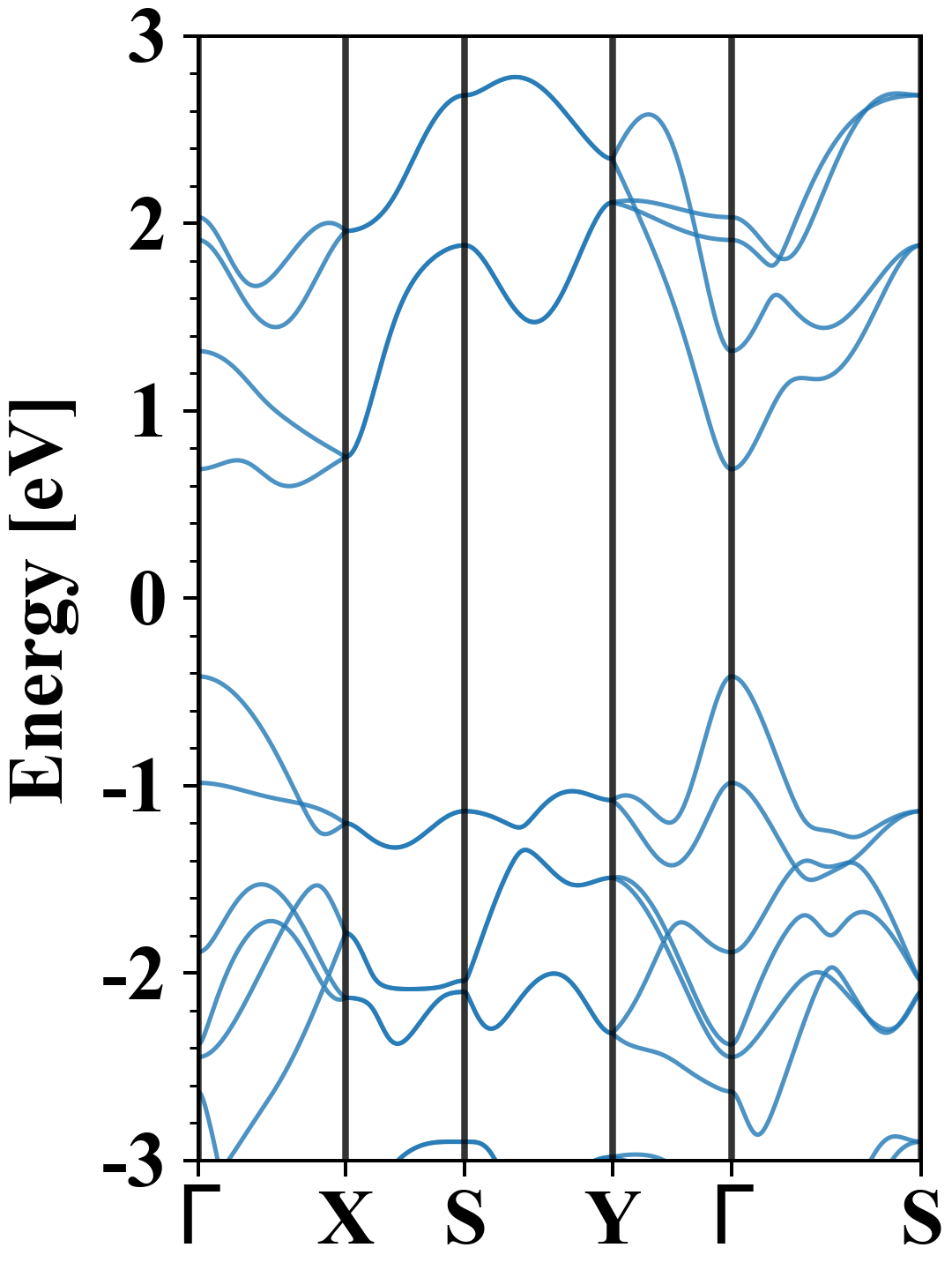
| Property |
Value |
| Band gap |
1.01 eV |
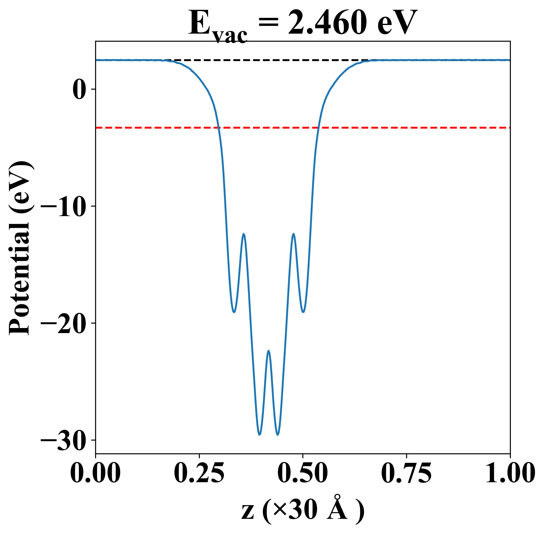
| E-fermi |
-3.329 eV |
| Vacuum level |
2.460 eV |
| VBM |
-3.746 eV |
| CBM |
-2.731 eV |
| Work function |
5.789 eV |
| Direct gap |
No |
| Property |
Value |
| Band gap |
1.04 eV |
| E-fermi |
-3.450 eV |
| VBM |
-3.755 eV |
| CBM |
-2.720 eV |
| Free energy (eV) |
-27.221 |
| Free energy / atom (eV) |
-4.537 |
| Property |
Value |
| Band gap |
1.01 eV |
| E-fermi |
-3.329 eV |
| Vacuum level |
2.460 eV |
| VBM |
-3.746 eV |
| CBM |
-2.731 eV |
| Work function |
5.789 eV |
| Cij (N/m) |
xx |
yy |
xy |
| xx |
100.960 |
13.263 |
0.000 |
| yy |
13.263 |
195.089 |
0.000 |
| xy |
0.000 |
0.000 |
22.619 |
| Phonon mode at Γ point (THz) |
| Property |
Value |
| from where |
c2db-318 |