Cl2O2Pt2
MatHub2d-1377-Cl2O2Pt2
| Property |
Value |
| Space group |
(59, 'Pmmn') |
| Crystal system |
rectangular |
| Magnetic |
|
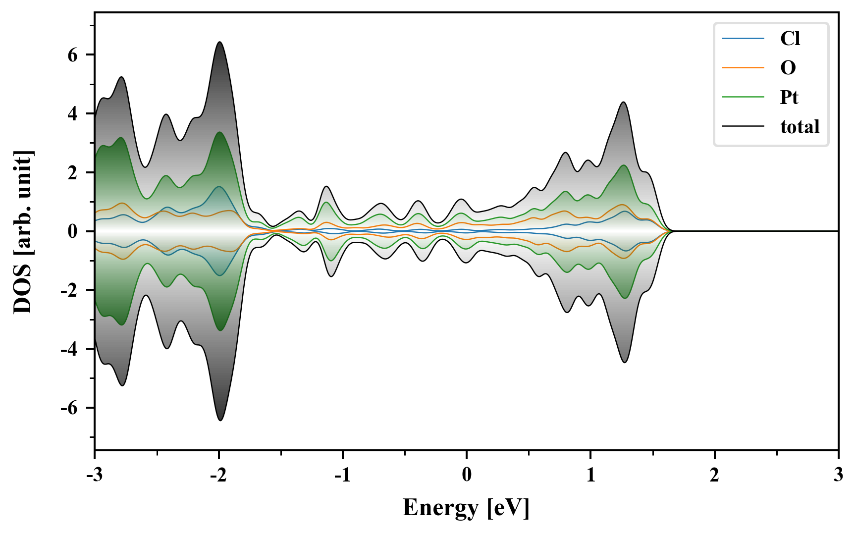
| Band gap (PBE) (eV) |
0.00 |
| Free energy (eV) |
-23.346 |
| Free energy / atom (eV) |
-3.891 |
Lattice Parameters (basic)
| a, b, c (Å): | 3.280 | 4.570 | 30.000 |
| α, β, γ (°): | 90.000 | 90.000 | 90.000 |
Lattice Parameters (computed)
| a, b, c (Å): | 3.243 | 4.604 | 30.000 |
| α, β, γ (°): | 90.000 | 90.000 | 90.000 |
| Property |
Value |
| Band gap |
0.00 eV |
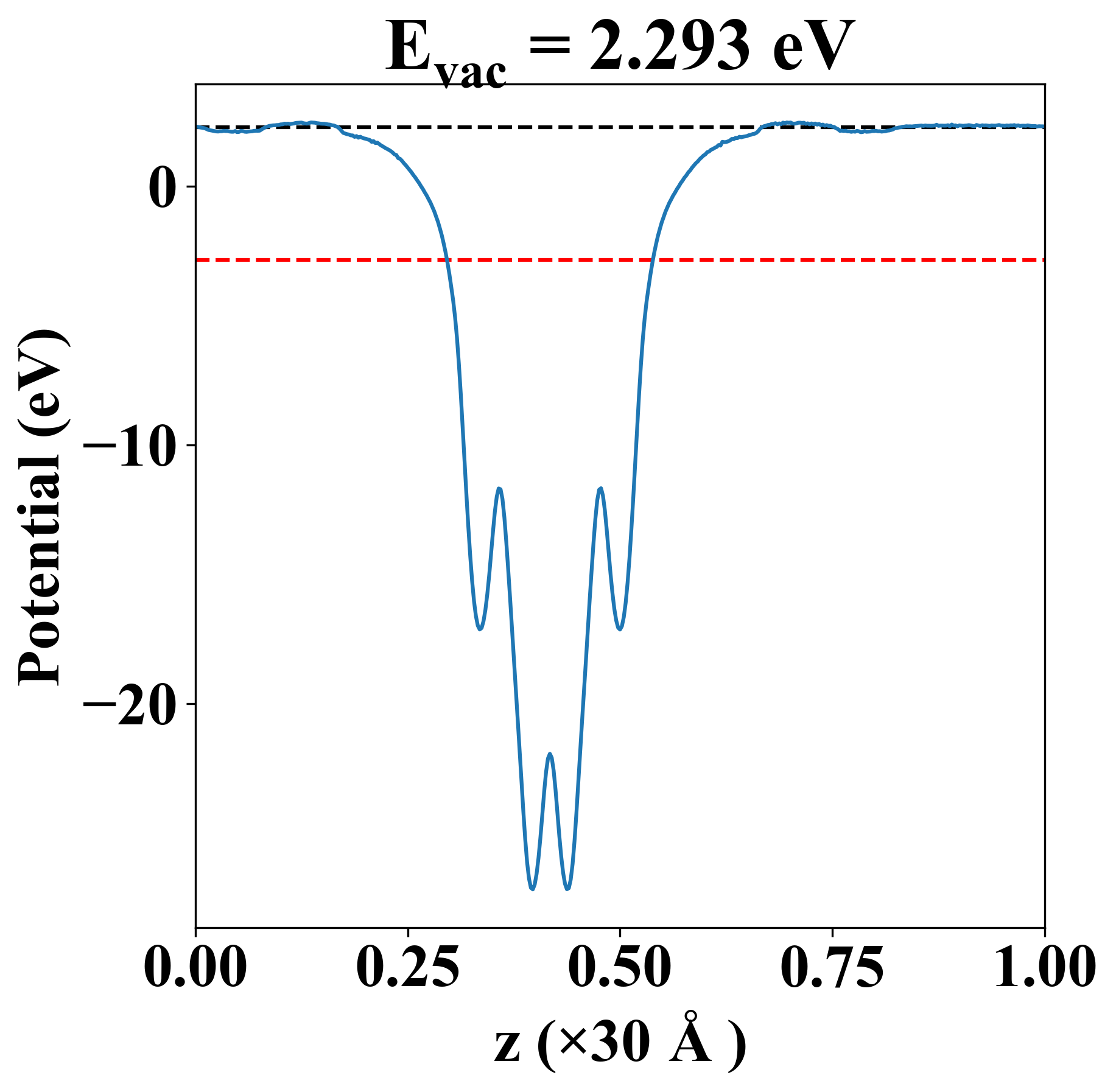
| E-fermi |
-2.842 eV |
| Vacuum level |
2.293 eV |
| VBM |
-2.847 eV |
| CBM |
-2.837 eV |
| Work function |
5.136 eV |
| Direct gap |
No |
| Property |
Value |
| Band gap |
0.00 eV |
| E-fermi |
-2.842 eV |
| Vacuum level |
2.293 eV |
| VBM |
-2.847 eV |
| CBM |
-2.837 eV |
| Work function |
5.136 eV |
| Cij (N/m) |
xx |
yy |
xy |
| xx |
90.785 |
20.090 |
0.000 |
| yy |
20.090 |
62.222 |
0.000 |
| xy |
0.000 |
0.000 |
7.888 |
| Phonon mode at Γ point (THz) |
| -0.003 |
| -0.002 |
| -0.001 |
| 1.549 |
| 2.508 |
| 2.781 |
| 3.010 |
| 4.746 |
| 8.911 |
| 9.021 |
| 9.092 |
| 9.095 |
| 10.062 |
| 10.422 |
| 12.406 |
| 12.619 |
| 14.607 |
| 14.935 |
| Property |
Value |
| from where |
c2db-306 |