Cl2O2Pd2
MatHub2d-1376-Cl2O2Pd2
| Property |
Value |
| Space group |
(59, 'Pmmn') |
| Crystal system |
rectangular |
| Magnetic |
No |
| Band gap (PBE) (eV) |
0.01 |
| Free energy (eV) |
-22.176 |
| Free energy / atom (eV) |
-3.696 |
Lattice Parameters (basic)
| a, b, c (Å): | 3.292 | 4.294 | 30.000 |
| α, β, γ (°): | 90.000 | 90.000 | 90.000 |
Lattice Parameters (computed)
| a, b, c (Å): | 3.190 | 4.388 | 30.000 |
| α, β, γ (°): | 90.000 | 90.000 | 90.000 |
| Property |
Value |
| Band gap |
0.01 eV |
| E-fermi |
-3.434 eV |
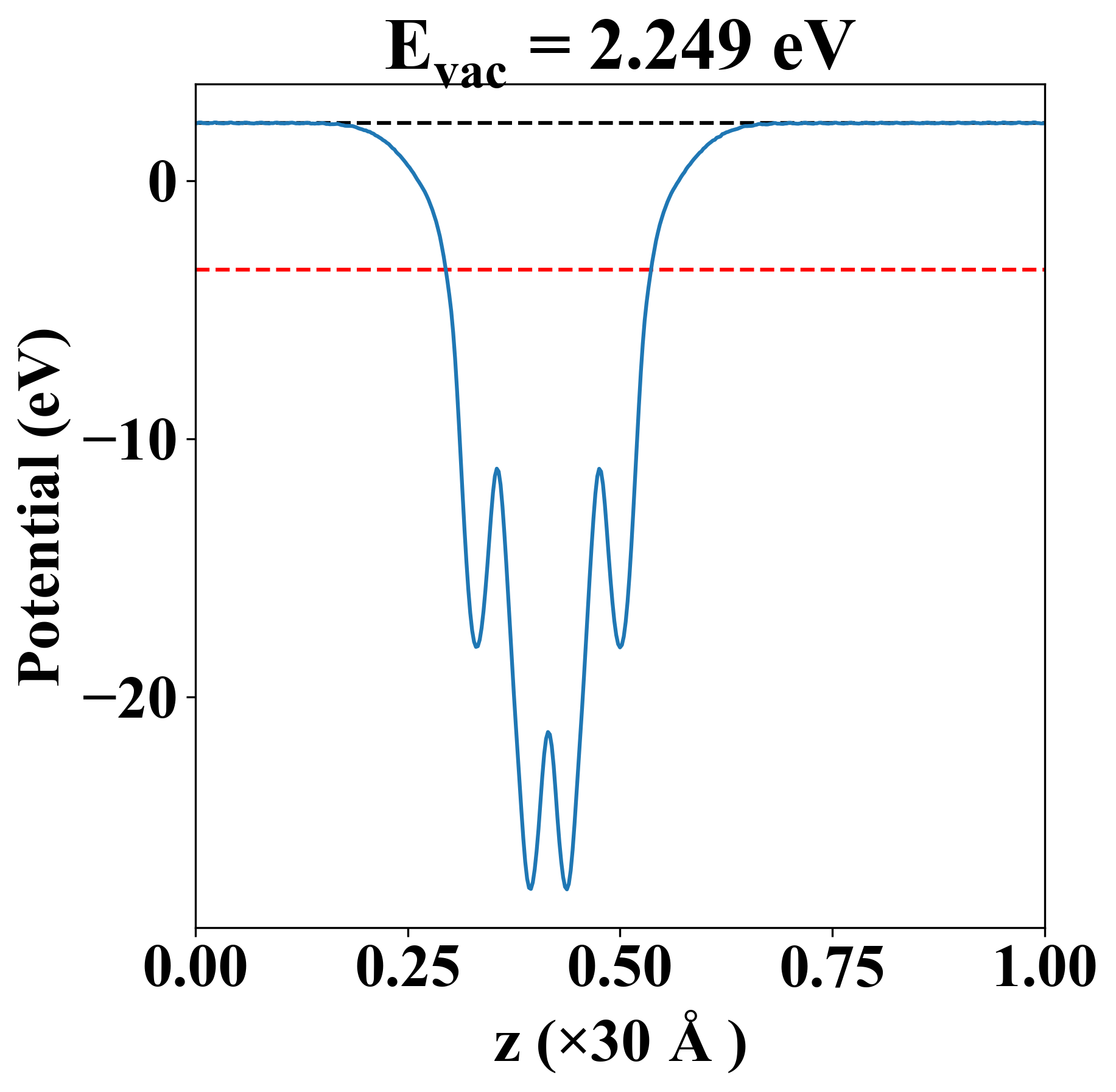
| Vacuum level |
2.249 eV |
| VBM |
-3.436 eV |
| CBM |
-3.431 eV |
| Work function |
5.684 eV |
| Direct gap |
No |
| Property |
Value |
| Band gap |
0.01 eV |
| E-fermi |
-3.434 eV |
| Vacuum level |
2.249 eV |
| VBM |
-3.436 eV |
| CBM |
-3.431 eV |
| Work function |
5.684 eV |
| Cij (N/m) |
xx |
yy |
xy |
| xx |
80.261 |
26.481 |
0.000 |
| yy |
26.481 |
58.848 |
0.000 |
| xy |
0.000 |
0.000 |
11.054 |
| Phonon mode at Γ point (THz) |
| Property |
Value |
| from where |
c2db-294 |