Cl2O2Pb2
MatHub2d-1375-Cl2O2Pb2
| Property |
Value |
| Space group |
(59, 'Pmmn') |
| Crystal system |
rectangular |
| Magnetic |
No |
| Band gap (PBE) (eV) |
0.00 |
| Free energy (eV) |
-25.751 |
| Free energy / atom (eV) |
-4.292 |
Lattice Parameters (basic)
| a, b, c (Å): | 3.938 | 4.378 | 30.000 |
| α, β, γ (°): | 90.000 | 90.000 | 90.000 |
Lattice Parameters (computed)
| a, b, c (Å): | 3.941 | 4.402 | 30.000 |
| α, β, γ (°): | 90.000 | 90.000 | 90.000 |
| Property |
Value |
| Band gap |
0.00 eV |
| E-fermi |
-4.130 eV |
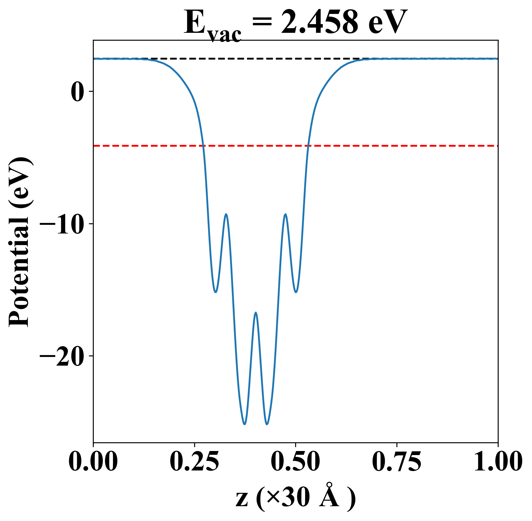
| Vacuum level |
2.458 eV |
| VBM |
-4.130 eV |
| CBM |
-4.127 eV |
| Work function |
6.588 eV |
| Direct gap |
No |
| Property |
Value |
| Band gap |
0.00 eV |
| E-fermi |
-4.130 eV |
| Vacuum level |
2.458 eV |
| VBM |
-4.130 eV |
| CBM |
-4.127 eV |
| Work function |
6.588 eV |
| Cij (N/m) |
xx |
yy |
xy |
| xx |
38.545 |
11.476 |
0.000 |
| yy |
11.476 |
67.000 |
0.000 |
| xy |
0.000 |
0.000 |
17.506 |
| Phonon mode at Γ point (THz) |
| -0.012 |
| -0.007 |
| -0.001 |
| 1.365 |
| 1.569 |
| 1.652 |
| 2.534 |
| 2.741 |
| 2.975 |
| 3.573 |
| 4.810 |
| 5.180 |
| 5.440 |
| 6.770 |
| 7.017 |
| 7.086 |
| 10.030 |
| 12.173 |
| Property |
Value |
| from where |
c2db-282 |