Cl2O2Os2
MatHub2d-1374-Cl2O2Os2
| Property |
Value |
| Space group |
(59, 'Pmmn') |
| Crystal system |
rectangular |
| Magnetic |
Yes |
| Band gap (PBE) (eV) |
0.72 |
| Free energy (eV) |
-32.890 |
| Free energy / atom (eV) |
-5.482 |
Lattice Parameters (basic)
| a, b, c (Å): | 3.470 | 4.005 | 30.000 |
| α, β, γ (°): | 90.000 | 90.000 | 90.000 |
Lattice Parameters (computed)
| a, b, c (Å): | 3.458 | 4.058 | 30.000 |
| α, β, γ (°): | 90.000 | 90.000 | 90.000 |
| Property |
Value |
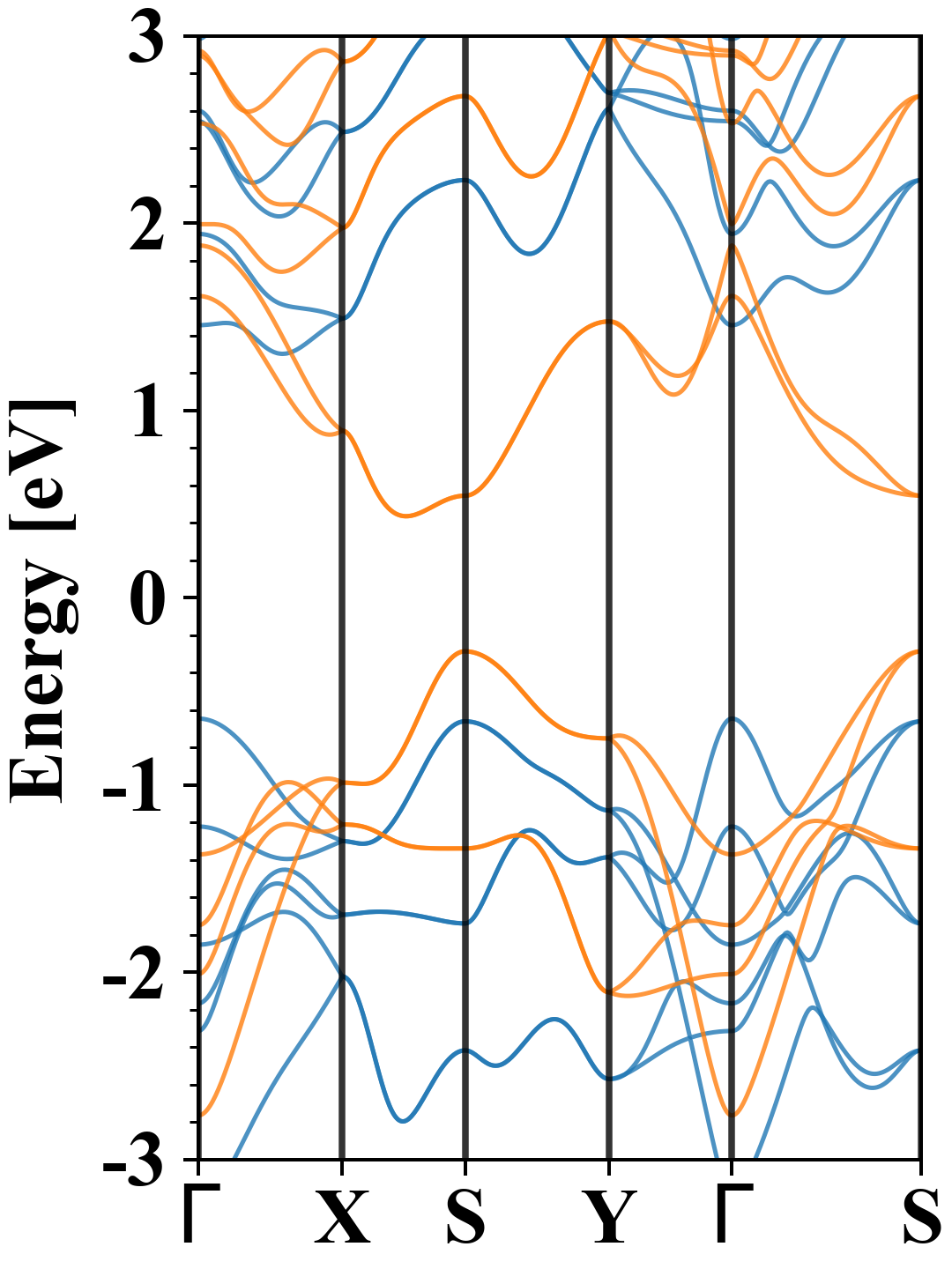
| Band gap |
0.72 eV |
| E-fermi |
-2.740 eV |
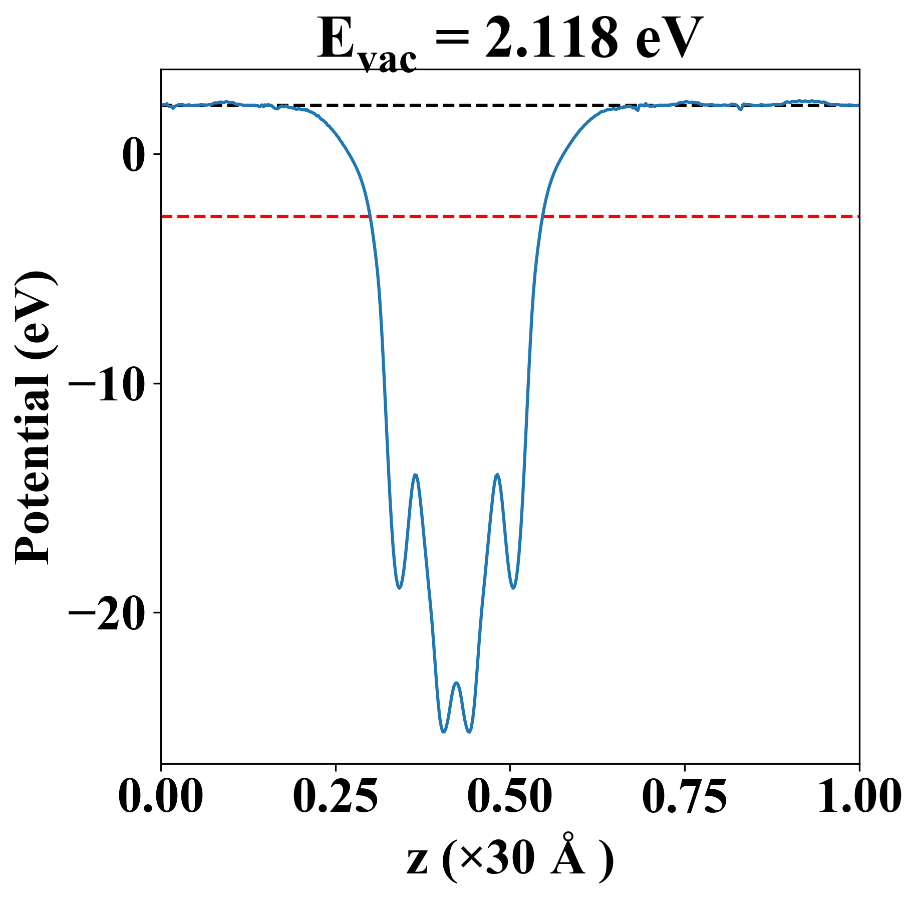
| Vacuum level |
2.118 eV |
| VBM |
-3.026 eV |
| CBM |
-2.305 eV |
| Work function |
4.857 eV |
| Direct gap |
No |
| Property |
Value |
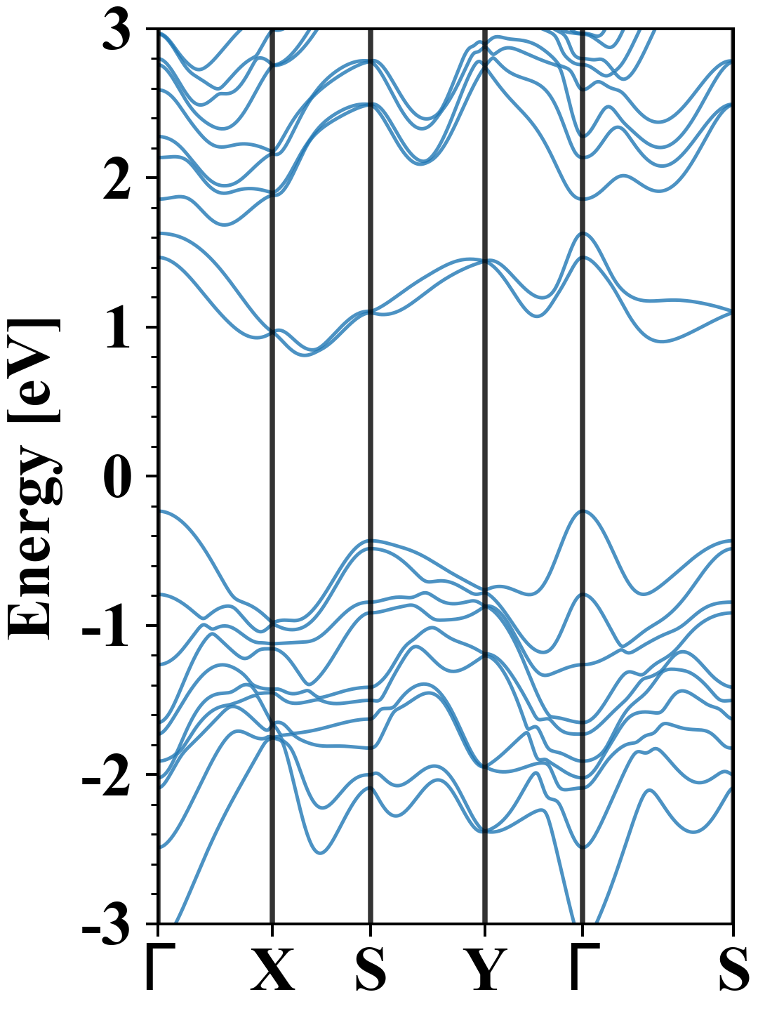
| Band gap |
1.04 eV |
| E-fermi |
-2.869 eV |
| VBM |
-3.103 eV |
| CBM |
-2.060 eV |
| Free energy (eV) |
-34.052 |
| Free energy / atom (eV) |
-5.675 |
| Property |
Value |
| Band gap |
0.72 eV |
| E-fermi |
-2.740 eV |
| Vacuum level |
2.118 eV |
| VBM |
-3.026 eV |
| CBM |
-2.305 eV |
| Work function |
4.857 eV |
| Cij (N/m) |
xx |
yy |
xy |
| xx |
121.543 |
19.093 |
0.000 |
| yy |
19.093 |
133.820 |
0.000 |
| xy |
0.000 |
0.000 |
-22.550 |
| Phonon mode at Γ point (THz) |
| Property |
Value |
| from where |
c2db-270 |