Cl2O1Os1
MatHub2d-1373-Cl2O1Os1
| Property |
Value |
| Space group |
(47, 'Pmmm') |
| Crystal system |
rectangular |
| Magnetic |
|
| Band gap (PBE) (eV) |
0.00 |
| Free energy (eV) |
-19.820 |
| Free energy / atom (eV) |
-4.955 |
Lattice Parameters (basic)
| a, b, c (Å): | 3.601 | 3.726 | 30.000 |
| α, β, γ (°): | 90.000 | 90.000 | 90.000 |
Lattice Parameters (computed)
| a, b, c (Å): | 3.602 | 3.727 | 30.000 |
| α, β, γ (°): | 90.000 | 90.000 | 90.000 |
| Property |
Value |
| Band gap |
0.00 eV |
| E-fermi |
-3.680 eV |
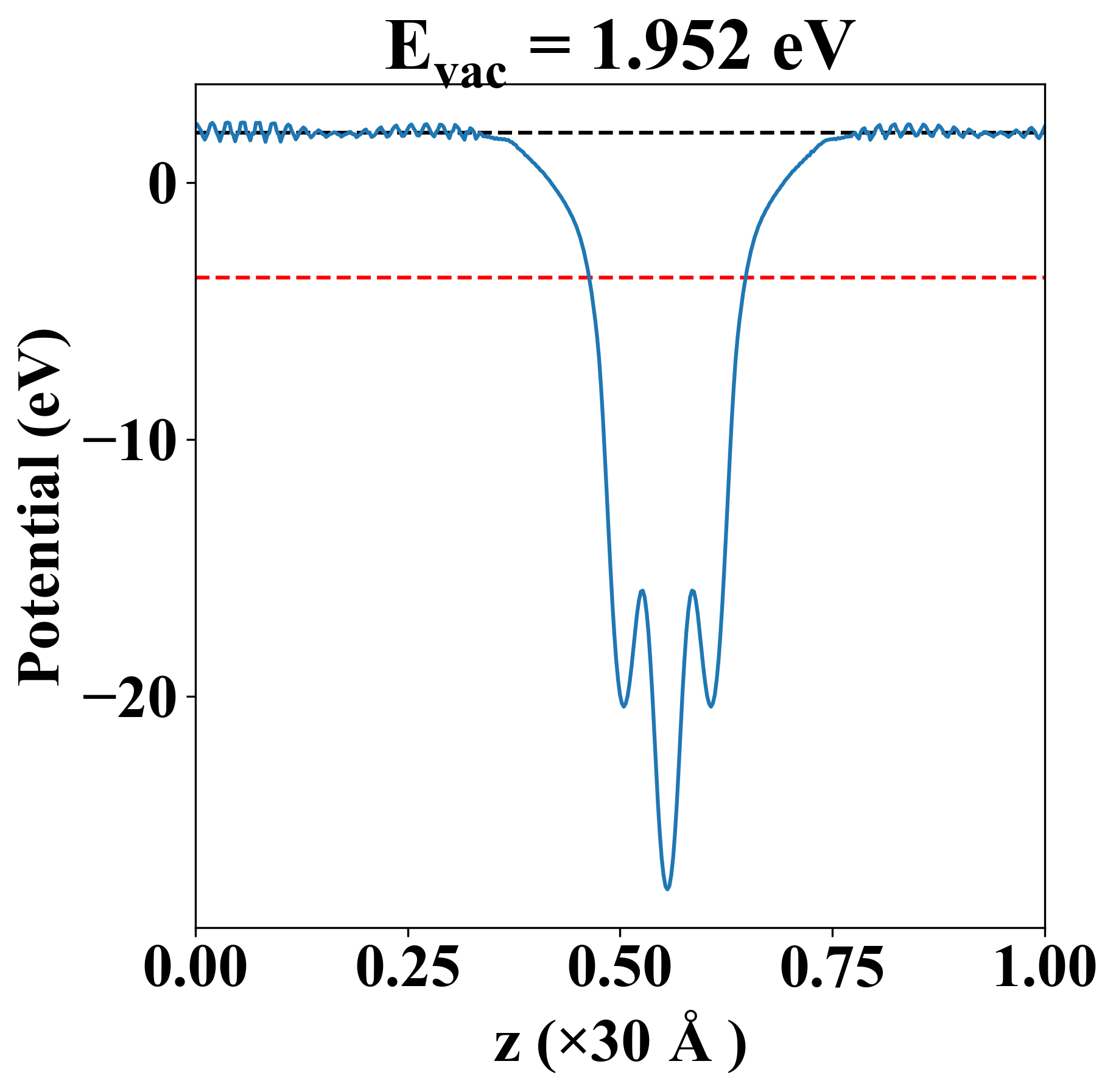
| Vacuum level |
1.952 eV |
| VBM |
-3.682 eV |
| CBM |
-3.676 eV |
| Work function |
5.633 eV |
| Direct gap |
No |
| Property |
Value |
| Band gap |
0.00 eV |
| E-fermi |
-3.680 eV |
| Vacuum level |
1.952 eV |
| VBM |
-3.682 eV |
| CBM |
-3.676 eV |
| Work function |
5.633 eV |
| Cij (N/m) |
xx |
yy |
xy |
| xx |
71.074 |
5.307 |
0.000 |
| yy |
5.307 |
283.599 |
0.000 |
| xy |
0.000 |
0.000 |
16.355 |
| Phonon mode at Γ point (THz) |
| -0.005 |
| -0.005 |
| 0.001 |
| 3.965 |
| 5.506 |
| 7.803 |
| 7.924 |
| 8.006 |
| 8.654 |
| 13.234 |
| 13.260 |
| 25.268 |
| Property |
Value |
| from where |
JVASP-6223 |