Cl2Ni2Se2
MatHub2d-1372-Cl2Ni2Se2
| Property |
Value |
| Space group |
(59, 'Pmmn') |
| Crystal system |
rectangular |
| Magnetic |
Yes |
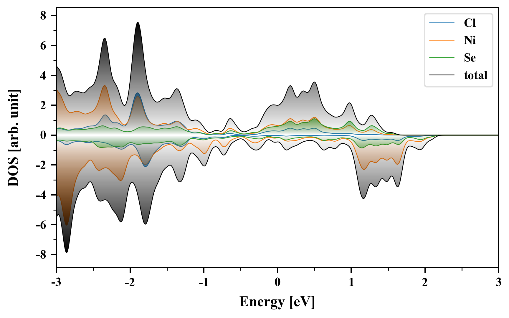
| Band gap (PBE) (eV) |
0.00 |
| Free energy (eV) |
-18.535 |
| Free energy / atom (eV) |
-3.089 |
Lattice Parameters (basic)
| a, b, c (Å): | 3.366 | 5.086 | 30.000 |
| α, β, γ (°): | 90.000 | 90.000 | 90.000 |
Lattice Parameters (computed)
| a, b, c (Å): | 3.337 | 5.054 | 30.000 |
| α, β, γ (°): | 90.000 | 90.000 | 90.000 |
| Property |
Value |
| Band gap |
0.00 eV |
| E-fermi |
-3.683 eV |
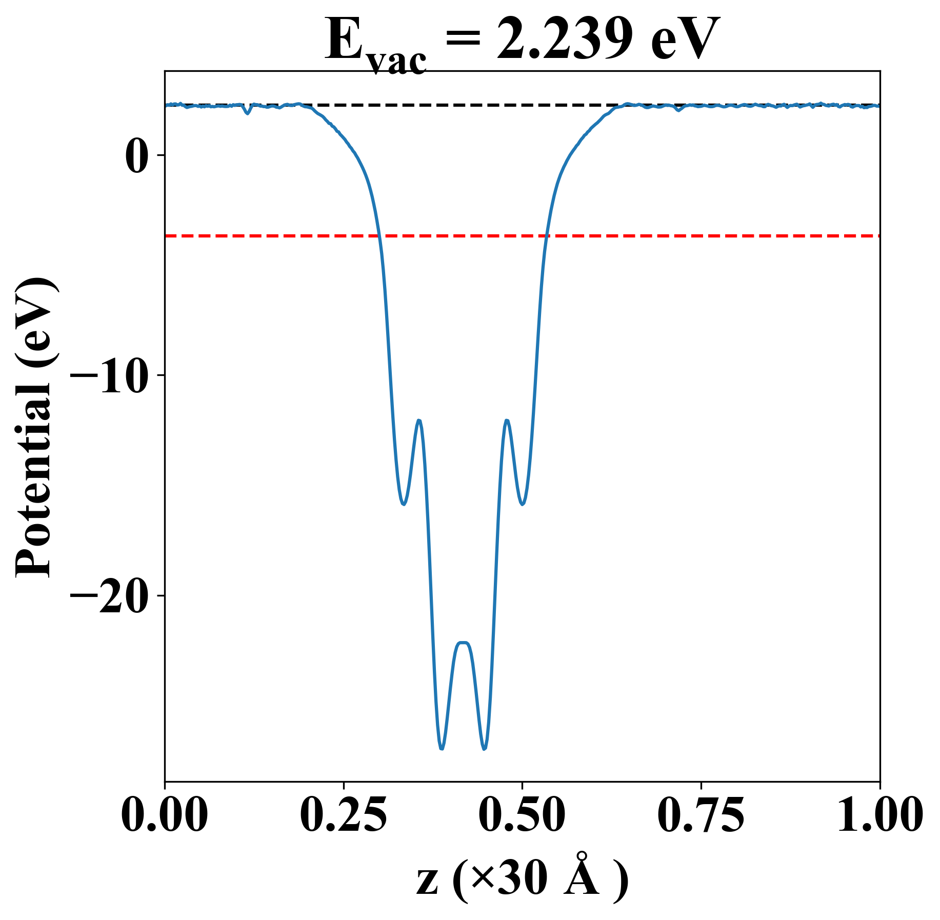
| Vacuum level |
2.239 eV |
| VBM |
-3.686 eV |
| CBM |
-3.683 eV |
| Work function |
5.923 eV |
| Direct gap |
No |
| Property |
Value |
| Band gap |
0.00 eV |
| E-fermi |
-3.683 eV |
| Vacuum level |
2.239 eV |
| VBM |
-3.686 eV |
| CBM |
-3.683 eV |
| Work function |
5.923 eV |
| Cij (N/m) |
xx |
yy |
xy |
| xx |
77.396 |
12.547 |
0.000 |
| yy |
12.547 |
52.437 |
0.000 |
| xy |
0.000 |
0.000 |
13.359 |
| Phonon mode at Γ point (THz) |
| Property |
Value |
| from where |
c2db-263 |