Cl2Ni2O2
MatHub2d-1370-Cl2Ni2O2
| Property |
Value |
| Space group |
(59, 'Pmmn') |
| Crystal system |
rectangular |
| Magnetic |
Yes |
| Band gap (PBE) (eV) |
0.00 |
| Free energy (eV) |
-23.569 |
| Free energy / atom (eV) |
-3.928 |
Lattice Parameters (basic)
| a, b, c (Å): | 3.147 | 3.810 | 30.000 |
| α, β, γ (°): | 90.000 | 90.000 | 90.000 |
Lattice Parameters (computed)
| a, b, c (Å): | 3.115 | 3.807 | 30.000 |
| α, β, γ (°): | 90.000 | 90.000 | 90.000 |
| Property |
Value |
| Band gap |
0.00 eV |
| E-fermi |
-4.705 eV |
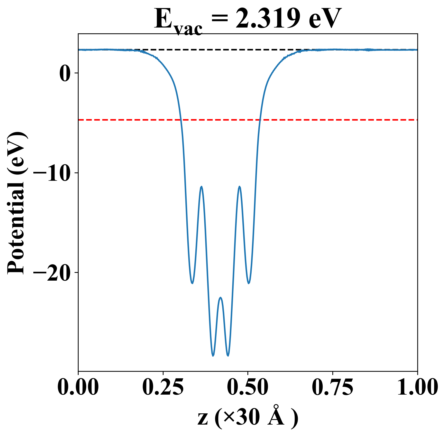
| Vacuum level |
2.319 eV |
| VBM |
-4.709 eV |
| CBM |
-4.705 eV |
| Work function |
7.024 eV |
| Direct gap |
No |
| Property |
Value |
| Band gap |
0.00 eV |
| E-fermi |
-4.705 eV |
| Vacuum level |
2.319 eV |
| VBM |
-4.709 eV |
| CBM |
-4.705 eV |
| Work function |
7.024 eV |
| Cij (N/m) |
xx |
yy |
xy |
| xx |
103.118 |
39.167 |
0.000 |
| yy |
39.167 |
99.653 |
0.000 |
| xy |
0.000 |
0.000 |
32.786 |
| Phonon mode at Γ point (THz) |
| Property |
Value |
| from where |
c2db-261 |