Cl2Nb2Se2
MatHub2d-1369-Cl2Nb2Se2
| Property |
Value |
| Space group |
(59, 'Pmmn') |
| Crystal system |
rectangular |
| Magnetic |
No |
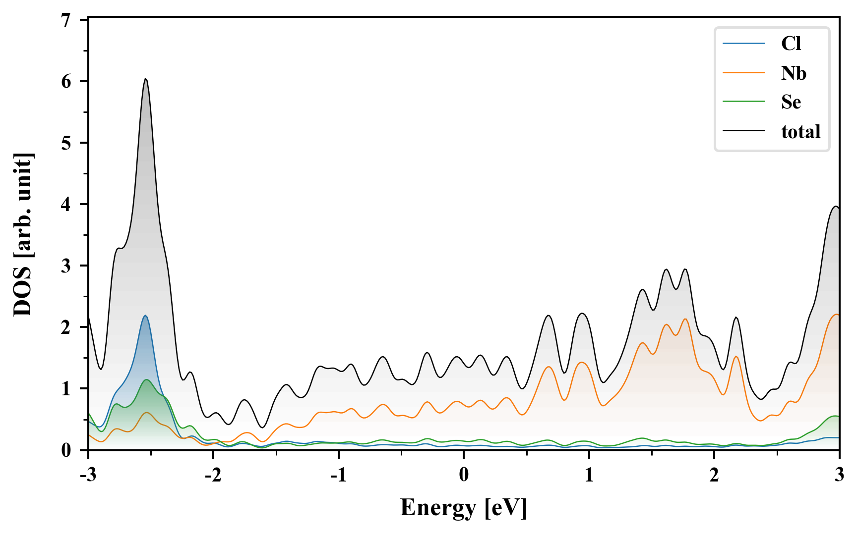
| Band gap (PBE) (eV) |
0.00 |
| Free energy (eV) |
-33.422 |
| Free energy / atom (eV) |
-5.570 |
Lattice Parameters (basic)
| a, b, c (Å): | 3.416 | 5.025 | 30.000 |
| α, β, γ (°): | 90.000 | 90.000 | 90.000 |
Lattice Parameters (computed)
| a, b, c (Å): | 3.443 | 5.042 | 30.000 |
| α, β, γ (°): | 90.000 | 90.000 | 90.000 |
| Property |
Value |
| Band gap |
0.00 eV |
| E-fermi |
-2.292 eV |
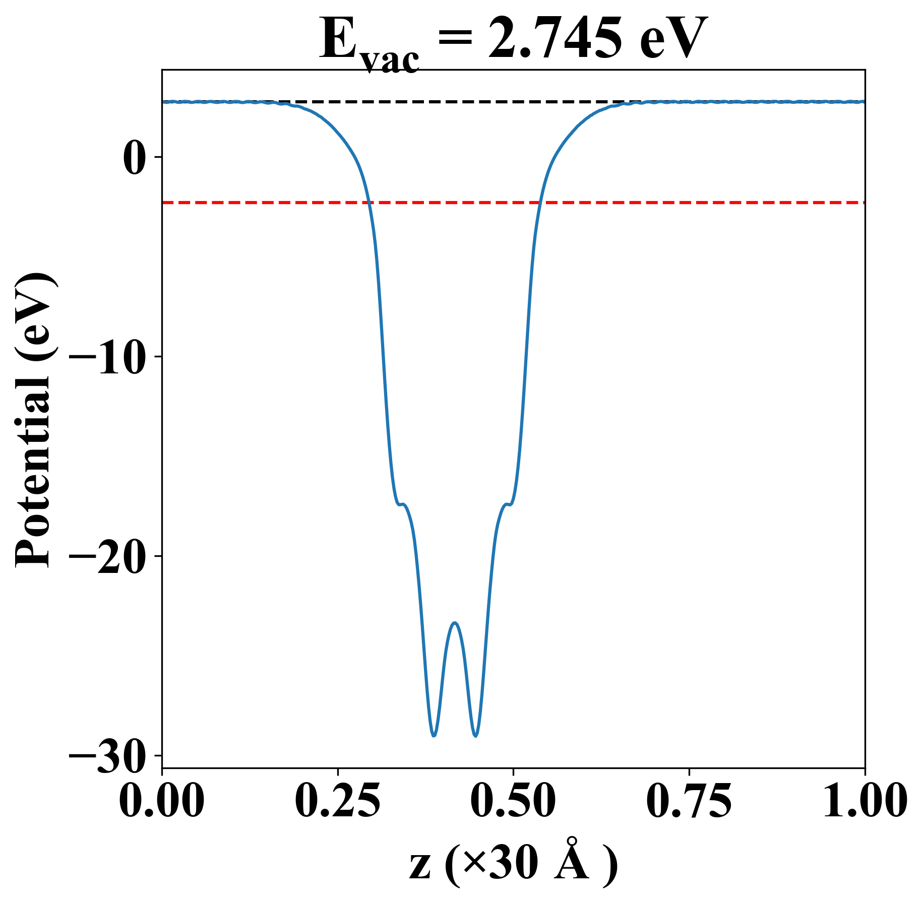
| Vacuum level |
2.745 eV |
| VBM |
-2.294 eV |
| CBM |
-2.292 eV |
| Work function |
5.038 eV |
| Direct gap |
No |
| Property |
Value |
| Band gap |
0.00 eV |
| E-fermi |
-2.292 eV |
| Vacuum level |
2.745 eV |
| VBM |
-2.294 eV |
| CBM |
-2.292 eV |
| Work function |
5.038 eV |
| Cij (N/m) |
xx |
yy |
xy |
| xx |
72.350 |
8.867 |
0.000 |
| yy |
8.867 |
160.028 |
0.000 |
| xy |
0.000 |
0.000 |
28.674 |
| Phonon mode at Γ point (THz) |
| Property |
Value |
| from where |
c2db-244 |