Cl2Nb2S2
MatHub2d-1368-Cl2Nb2S2
| Property |
Value |
| Space group |
(59, 'Pmmn') |
| Crystal system |
rectangular |
| Magnetic |
|
| Band gap (PBE) (eV) |
0.00 |
| Free energy (eV) |
-35.694 |
| Free energy / atom (eV) |
-5.949 |
Lattice Parameters (basic)
| a, b, c (Å): | 3.381 | 4.814 | 30.000 |
| α, β, γ (°): | 90.000 | 90.000 | 90.000 |
Lattice Parameters (computed)
| a, b, c (Å): | 3.413 | 4.824 | 30.000 |
| α, β, γ (°): | 90.000 | 90.000 | 90.000 |
| Property |
Value |
| Band gap |
0.00 eV |
| E-fermi |
-2.237 eV |
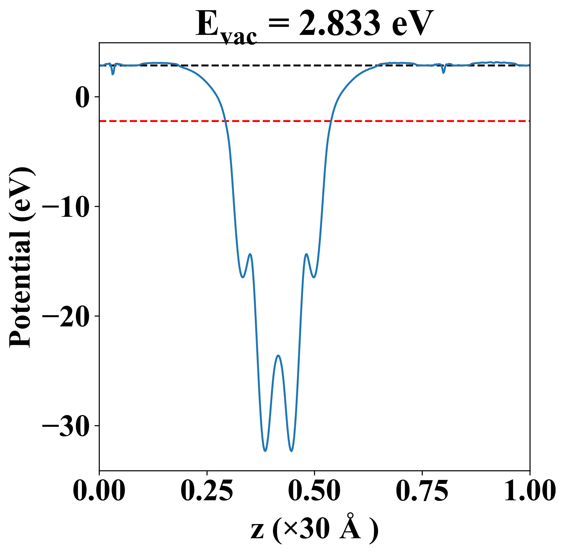
| Vacuum level |
2.833 eV |
| VBM |
-2.238 eV |
| CBM |
-2.234 eV |
| Work function |
5.070 eV |
| Direct gap |
No |
| Property |
Value |
| Band gap |
0.00 eV |
| E-fermi |
-2.237 eV |
| Vacuum level |
2.833 eV |
| VBM |
-2.238 eV |
| CBM |
-2.234 eV |
| Work function |
5.070 eV |
| Cij (N/m) |
xx |
yy |
xy |
| xx |
79.817 |
8.833 |
0.000 |
| yy |
8.833 |
188.643 |
0.000 |
| xy |
0.000 |
0.000 |
29.018 |
| Phonon mode at Γ point (THz) |
| Property |
Value |
| from where |
c2db-243 |