Cl2N2V2
MatHub2d-1364-Cl2N2V2
| Property |
Value |
| Space group |
(59, 'Pmmn') |
| Crystal system |
rectangular |
| Magnetic |
Yes |
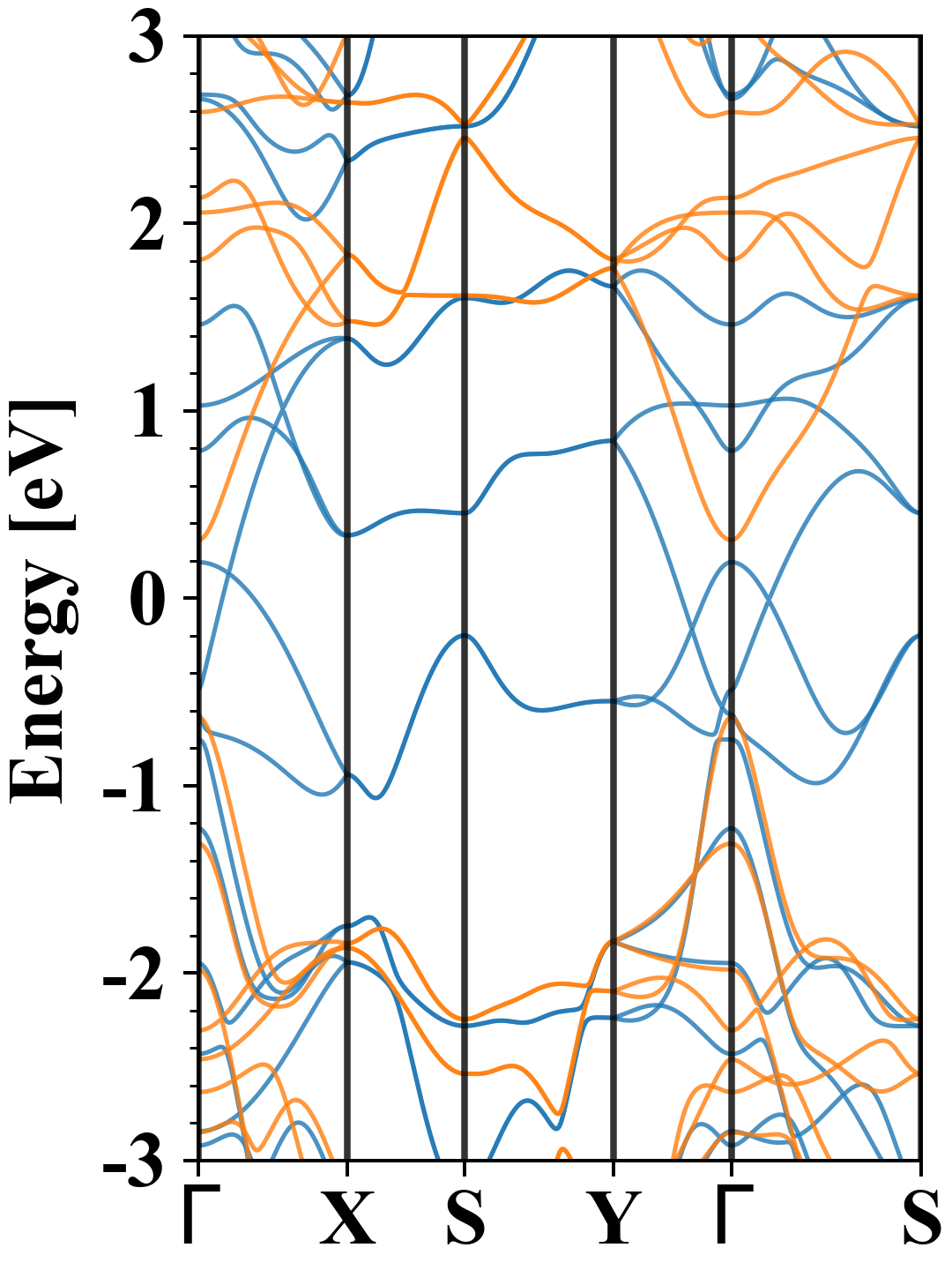
| Band gap (PBE) (eV) |
0.00 |
| Free energy (eV) |
-39.173 |
| Free energy / atom (eV) |
-6.529 |
Lattice Parameters (basic)
| a, b, c (Å): | 3.161 | 3.972 | 30.000 |
| α, β, γ (°): | 90.000 | 90.000 | 90.000 |
Lattice Parameters (computed)
| a, b, c (Å): | 3.209 | 4.050 | 30.000 |
| α, β, γ (°): | 90.000 | 90.000 | 90.000 |
| Property |
Value |
| Band gap |
0.00 eV |
| E-fermi |
-3.686 eV |
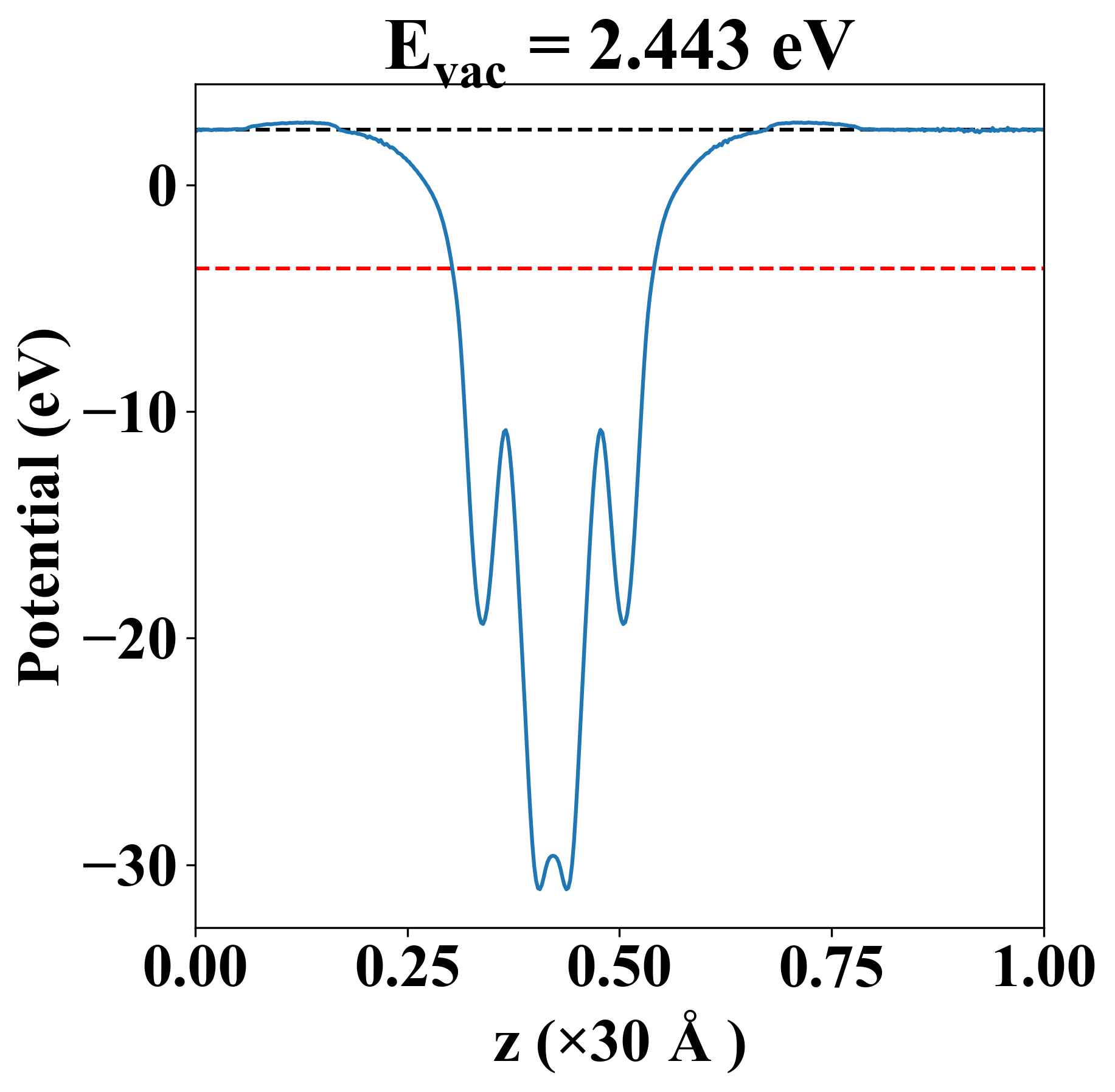
| Vacuum level |
2.443 eV |
| VBM |
-3.688 eV |
| CBM |
-3.685 eV |
| Work function |
6.129 eV |
| Direct gap |
No |
| Property |
Value |
| Band gap |
0.00 eV |
| E-fermi |
-3.686 eV |
| Vacuum level |
2.443 eV |
| VBM |
-3.688 eV |
| CBM |
-3.685 eV |
| Work function |
6.129 eV |
| Cij (N/m) |
xx |
yy |
xy |
| xx |
22.737 |
11.308 |
0.000 |
| yy |
11.308 |
74.475 |
0.000 |
| xy |
0.000 |
0.000 |
7.200 |
| Phonon mode at Γ point (THz) |
| Property |
Value |
| from where |
c2db-407 |